ГОСТ 23615-79*
(СТ СЭВ 5061-85)
УДК 69.001.2:006.354
Группа Ж02
ГОСУДАРСТВЕННЫЙ СТАНДАРТ СОЮЗА ССР
Система обеспечения точности геометрических
параметров в строительстве
СТАТИСТИЧЕСКИЙ АНАЛИЗ ТОЧНОСТИ
System for ensuring the accuracy of geometrical parameters
in construction. Statistical analysis of accuracy
Дата введения 1980-01-01
УТВЕРЖДЕН И ВВЕДЕН В ДЕЙСТВИЕ постановлением Государственного комитета СССР по делам строительства от 12 апреля 1979 г. N 55.
ПЕРЕИЗДАНИЕ. Июнь 1992г. с Изменением № 1, утвержденным в июне 1986 г. (ИУС-11-86).
Настоящий стандарт устанавливает общие правила статистического анализа точности геометрических параметров при изготовлении строительных элементов (деталей, изделий, конструкций), выполнении разбивочных работ в процессе строительства и установке элементов в конструкциях зданий и сооружений.
Стандарт распространяется на технологические процессы и операции массового и серийного производства.
Применяемые в стандарте термины по статистическому анализу и контролю соответствуют приведенным в ГОСТ 15895-77.
Стандарт полностью соответствует СТ СЭВ 5061-85.
(Измененная редакция, Изм. N 1).
1. ОБЩИЕ ПОЛОЖЕНИЯ
1.1. Статистическим анализом устанавливают закономерность распределения действительных значений геометрических параметров конструкций зданий и сооружений и их элементов и определяют статистические характеристики точности этих параметров.
1.2. На основе результатов статистического анализа:
производят оценку действительной точности и устанавливают возможности технологических процессов и операций по ее обеспечению;
определяют возможность применения статистических методов регулирования точности по СТ СЭВ 2835-80 и контроля точности по ГОСТ 23616-79;
проверяют эффективность применяемых методов регулирования и контроля точности при управлении технологическими процессами.
1.3. Статистический анализ точности выполняют отдельно по каждому геометрическому параметру в следующей последовательности:
в зависимости от характера производства образуют необходимые выборки и определяют действительные отклонения параметра от номинального;
рассчитывают статистические характеристики действительной точности параметра в выборках;
проверяют статистическую однородность процесса — согласие опытного распределения действительных отклонений параметра с теоретическим и стабильность статистических характеристик в выборках;
оценивают точность технологического процесса и, в зависимости от цели анализа, принимают решение о порядке применения его результатов.
1.4. Статистический анализ точности следует проводить после предварительного изучения состояния технологического процесса в соответствии с требованиями СТ СЭВ 2835-80 и его наладки по полученным результатам.
1.5. Действительные отклонения геометрического параметра в выборках определяют в результате его измерений в соответствии с требованиями ГОСТ 23616-79 и ГОСТ 26433.0-85.
1.2 -1.5 (Измененная редакция, Изм. N 1).
2. ОБРАЗОВАНИЕ ВЫБОРОК
2.1. В качестве исследуемой генеральной совокупности принимают объем продукции или работ (например разбивочных), производимый на технологической линии (потоке, участке и т.п.) при неизменных типовых условиях производства в течение определенного времени, достаточного для характеристики данного процесса.
2.2. Статистический анализ точности выполняют по действительным отклонениям параметра в представительной объединенной выборке, состоящей из не менее чем 100 объектов контроля и получаемой путем последовательного отбора из исследуемой совокупности серии выборок малого объема.
Эти выборки отбирают через равные промежутки времени, определяемые в зависимости от объема производства и особенностей технологического процесса.
(Измененная редакция, Изм. N 1).
2.3. При анализе точности процессов изготовления элементов массового производства, когда на каждой единице или комплекте технологического оборудования постоянно в достаточно большом объеме производится однотипная продукция (например кирпич, асбестоцементные листы), отбирают серию мгновенных выборок одинакового объема 5 10 единицам.
2.4. При анализе точности изготовления элементов серийного производства, когда достаточный объем продукции может быть получен с нескольких однотипных единиц технологического оборудования (например производство ряда видов железобетонных изделий, сборка металлоконструкций и т.п.), отбирают серию выборок одинакового объема 30 единицам. Эти выборки могут быть составлены из изделий, отбираемых при приемочном контроле нескольких последовательных или параллельных партий продукции.
2.5. При анализе точности разбивки осей и установки элементов образуют серию выборок одинакового объема из n≥ 30 закрепленных в натуре ориентиров или элементов, установленных на одном или нескольких монтажных горизонтах.
2.4, 2.5 (Измененная редакция, Изм. N 1).
2.6. Порядок формирования выборки для обеспечения ее представительности и случайности определяют в соответствии с характером объекта исследований и требованиями ГОСТ 18321-73.
3. РАСЧЕТ СТАТИСТИЧЕСКИХ ХАРАКТЕРИСТИК ТОЧНОСТИ
3.1. При проведении статистического анализа вычисляют выборочные средние отклонения, а также выборочные средние квадратические отклонения или размахи действительных отклонений в выборках.
Примечание. При анализе точности конфигурации элементов выборочные средние
отклонения не вычисляют.
3.2. Выборочное среднее отклонение
в выборках малого объёма и в объединенной выборке вычисляют по формуле
3.1 -3.4 (Измененная редакция, Изм. N 1).
3.5. Порядок расчета статистических характеристик приведен в рекомендуемом приложении 1.
3.6. В качестве статистических характеристик точности процесса принимают значения ![]()
и Sx в объединенной выборке, если результаты проведенной в соответствии с разд.4 проверки подтвердили статистическую однородность процесса.
Значения
, Sx и Rx в выборках малого объема используют при проверке однородности процесса.
(Измененная редакция, Изм. N 1).
4. ПРОВЕРКА СТАТИСТИЧЕСКОЙ ОДНОРОДНОСТИ ПРОЦЕССА
4.1. При проверке статистической однородности процесса устанавливают:
согласие распределения действительных отклонений параметра в объединенной выборке с теоретическим;
стабильность выборочного среднего отклонения
, значение которого характеризует систематические погрешности прогресса;
стабильность выборочного среднего квадратического отклонения Sx или размаха Rx , значения которых характеризуют случайные погрешности прогресса.
4.2. Согласие распределения действительных отклонений параметра с теоретическим устанавливают по нормативно-технической документации.
Допускается использование других методов, принятых в математической статистике (например построение ряда отклонений на вероятностной бумаге и т.д.).
4.3. При нормальном распределении геометрического параметра стабильность статистических характеристик в мгновенных выборках и выборках малого объёма n ≥30 единицам проверяют по попаданию их значений в доверительные интервалы, границы которых вычисляют для доверительной вероятности не менее 0,95.
В случае, если гипотеза о нормальном распределении геометрического параметра не может быть принята, применяют другие методы математической статистики.
4.1-4.3 (Измененная редакция, Изм. N 1).
4.4. (Исключен, Изм.N 1).
4.5. Проверку статистической однородности технологических процессов изготовления строительных элементов, а также геометрических параметров зданий и сооружений допускается выполнять упрощенным способом в соответствии с приложением 1.
Пример проверки приведен в приложении 2.
(Измененная редакция, Изм. N 1).
4.6. Процесс считается статистически однородным по данному геометрическому параметру, если распределение действительных отклонений в объединенной выборке приближается к нормальному и характеристики точности в серии выборок, составивших объединенную выборку, стабильны во времени.
4.7. В случае, если распределение действительных отклонений не соответствует нормальному, а характеристики точности в серии выборок малого объема не стабильны, процесс не может считаться налаженным и установившимся. В этом случае следует ввести операционный контроль, установить причины нестабильности точности и произвести соответствующую настройку оборудования, после чего повторить анализ.
В любом случае систематическая погрешность по абсолютной величине превышающая значение
должна быть устранена регулированием.
(Измененная редакция, Изм. N 1).
5. ОЦЕНКА ТОЧНОСТИ ПРОЦЕССА
5.1. На основании результатов статистического анализа устанавливают возможность процесса обеспечивать точность параметра в соответствии с определенным классом точности по ГОСТ 21779-82.
5.2. Класс точности определяют из условия
где ∆x — ближайшее большее к значению 2tSx значение допуска для данного интервала номинального размера в соответствующих таблицах ГОСТ 21779-82;
— коэффициент, принимаемый по таблице настоящего стандарта в зависимости от значения приемочного уровня дефектности AQL , принятого при контроле точности по ГОСТ 23616-79.
| AQL, % | 0,25 | 1,5 | 4,0 | 10,0 |
| 3,0 | 2,4 | 2,1 | 1,6 |
5.3. Для сопоставления уровня точности различных производств или в различные промежутки времени следует использовать показатель уровня точности h , характеризующий запас точности по отношению к допуску ∆x и определяемый по формуле
где Sx — выборочное среднее квадратическое отклонение, определяемое для статиcтически однородного процесса в случайных выборках объемом не менее 30 единиц.
5.1-5.3 (Измененная редакция, Изм. N1).
5.4. Если h по абсолютному значению оказывается меньше чем 0,14, то следует считать, что запас точности отсутствует.
Если h отрицательна и по своему абсолютному значению превышает 0,14, то это означает, что процесс перешел в более низкий класс точности.
При значении h , приближающемся к 0,5, следует проверить возможность отнесения процесса к более высокому классу точности.
ПРИЛОЖЕНИЕ 1
Рекомендуемое
ПОРЯДОК РАСЧЕТА
статистических характеристик и проверки статистической однородности процесса упрощенным способом
1. Действительные отклонения в выборках объемом
единиц заносят в хронологическом порядке в табл. 1.
Характеристики
и Rx вычисляют по формулам (1) и (3) настоящего стандарта.
Таблица 1
Форма таблицы для расчета характеристик
и Rx в мгновенных
выборках объёмом ![]()
2. Действительные отклонения в каждой из выборок объёма n≥30 единицам заносят в табл. 2.
Таблица 2
Форма таблицы для расчета характеристик
и Sx
в выборках объёмом n≥30
В каждой строчке вычисляют значения
Характеристики
и Sx вычисляют по формулам (1) и (2), подставляя в них
подсчитанные по табл.2 значения 
3. Для расчета характеристик точности в объёдиненной выборке и проверки согласия действительного распределения с теоретическим действительные отклонения из всех выборок малого объёма выписывают в порядке их возрастания, и полученное поле рассеяния между наименьшим и наибольшим отклонениями разбивают на интервалы распределения, равные цене деления измерительного инструмента, принимая целые числа за середины интервалов ![]()
(j = 1, 2, 3, …, m — количество интервалов).
4. Подсчитывают количество отклонений, относящихся к каждому интервалу (частоты ƒj ) и по форме табл. 3 (левая часть) строят гистограмму действительных отклонений, откладывая по вертикали интервалы распределения, а по горизонтали — соответствующие им частоты.
Таблица 3
Форма таблицы для построения гистограммы и расчета характеристик
и Sx в объёдиненной выборке
При построении гистограммы следует учитывать, что отклонения конфигурации элементов всегда имеют положительный знак.
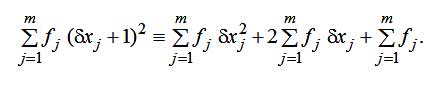
В правую часть табл. 3 заносят значения
вычисленные для каждого значения
принятого за середину интервала, и проверяют правильность вычислений тождеством
Значения
и Sx вычисляют по преобразованным формулам (1) и (2):
Таблица 4
1-8 (Измененная редакция, Изм. N 1).
ПРИЛОЖЕНИЕ 2
Справочное
ПРИМЕР ПРОВЕРКИ СТАТИСТИЧЕСКОЙ ОДНОРОДНОСТИ
ТЕХНОЛОГИЧЕСКОГО ПРОЦЕССА
Необходимо произвести проверку статистической однородности технологического процесса изготовления панелей наружных стен. Анализируемый параметр — длина. Номинальные длины всех марок панелей находятся в интервале от 2500 до 4000 мм. Панели изготавливаются в горизонтальных формах, объём выпуска — 25 панелей в смену. Парк форм для изготовления панелей — 96 шт., каждая из которых имеет свои действительные внутренние размеры, влияющие на точность соответствующих размеров панелей. Подобный технологический процесс относится к процессам серийного производства.
1. Для составления выборки объёмом n ≥ 30 изделий ежедневно в течение трех дней записывались действительные отклонения длины панелей, которые контролировались в соответствии с ГОСТ 11024-84 (по 5 изделий в каждую смену). Из накопленных 45 действительных отклонений были исключены пять отклонений длины изделий из форм, которые попали в контроль повторно.
Результаты измерений были округлены до целых значений в мм и занесены в табл. 1, составленную по форме табл.2 приложения 1, после чего в табл. 1 были выполнены необходимые вычисления.
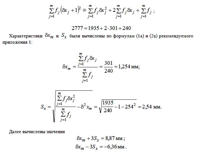
Правильность заполнения таблицы в соответствии с п. 1 приложения 1 была проверена тождеством
Таблица 3
Гистограмма действительных отклонений и таблица расчета статистических характеристик

Действительные отклонения
из всех выборок были распределены по интервалам, после чего было подсчитано количество отклонений в каждом интервале (частоты), построена гистограмма и выполнены все промежуточные вычисления в таблице. Правильность заполнения таблицы в соответствии с п.4 приложения 1 была проверена тождеством
Отклонения, вышедшие за пределы, ограниченные вычисленными значениями и равные +10 мм, +9 мм и -7 мм, были исключены из объёдиненной выборки, как грубые ошибки, после чего в двух последних графах табл.3 были произведены соответствующие вычисления, определены
Таблица 4





















