ГОСТ 26433.0-85
УДК 69.001.2:006:354
Группа Ж02
ГОСУДАРСТВЕННЫЙ СТАНДАРТ СОЮЗА ССР
Система обеспечения точности геометрических
параметров в строительстве
ПРАВИЛА ВЫПОЛНЕНИЯ ИЗМЕРЕНИЙ
Общие положения
System of ensuring geometrical parameters
accuracy in construction. Rules of measurement.
General
Дата введения 1986-01-01
ИНФОРМАЦИОННЫЕ ДАННЫЕ
РАЗРАБОТАН
Зональным научно-исследовательским и проектным институтом типового и экспериментального проектирования жилых и общественных зданий (ЛенЗНИИЭП) Госгражданстроя
Центральным ордена Трудового Красного Знамени научно-исследовательским и проектным институтом типового и экспериментального проектирования жилища (ЦНИИЭП жилища) Госгражданстроя
Центральным научно-исследовательским и проектно-экспериментальным институтом организации, механизации и технической помощи строительству (ЦНИИОМТП) Госстроя СССР
ИСПОЛНИТЕЛИ
Л.Н.Ковалис (руководитель темы); Г.Б.Шойхет, канд.техн.наук; М.С.Кардаков; С.Н.Панарин, канд.техн.наук; А.В.Цареградский; Н.М.Штейнберг, канд.техн.наук; Г.Д.Костина, канд.техн.наук; В.С.Сытник, канд.техн.наук; С.Е.Чекулаев, канд. техн.наук; В.Д.Фельдман, канд.техн.наук; В.В.Тишенко
ВНЕСЕН Зональным научно-исследовательским и проектным институтом типового и экспериментального проектирования жилых и общественных зданий (ЛенЗНИИЭП) Госгражданстроя
Директор В.В.Судаков
УТВЕРЖДЕН И ВВЕДЕН В ДЕЙСТВИЕ Постановлением Государственного комитета СССР по делам строительства от 17 октября 1984 г. № 174
1. Настоящий стандарт распространяется на здания, сооружения и их элементы и устанавливает общие положения по проведению линейных и угловых измерений при контроле точности геометрических параметров по ГОСТ 23616-79, а также в процессе выполнения разбивочных работ в строительстве, изготовления и установки элементов.
Стандарт не распространяется на измерения, проводимые при государственных испытаниях, аттестации и поверке средств измерения.
Применяемые в стандарте термины по измерениям соответствуют ГОСТ 16263-70.
2. Объектами измерений являются:
строительные элементы (изделия);
строительные конструкции зданий и сооружений на отдельных этапах их возведения и после завершения строительно-монтажных работ;
плановые и высотные разбивочные сети и их элементы, в том числе создаваемые на монтажном горизонте;
формующее оборудование, приспособления и оснастка для изготовления и монтажа, определяющие точность строительных конструкций.
3. Измерениям подлежат геометрические параметры, требования к точности которых установлены в нормативно-технической, проектной и технологической документации на объекты измерения.
4. Измерения проводят в соответствии с требованиями настоящего стандарта и других государственных стандартов по правилам выполнения измерений Системы обеспечения точности геометрических параметров в строительстве.
В нормативно-технической и в технологической документации на конкретные объекты измерения на основе этих стандартов устанавливают предельную погрешность измерений, применяемые методы и средства и, при необходимости, способы обработки результатов наблюдений.
5. Выбор методов и средств измерений
5.1. Методы и средства измерений принимают в соответствии с характером объекта и измеряемых параметров из условия
Δx где — допуск измеряемого геометрического параметра, установленный нормативно-технической документацией на объект измерения;
K — коэффициент, зависящий от цели измерений и характера объекта.
Для измерений, выполняемых в процессе и при контроле точности изготовления и установки элементов, а также при контроле точности разбивочных работ принимают K = 0,2.
Для измерений, выполняемых в процессе производства разбивочных работ, K = 0,4.
5.4. При выборе методов и средств измерения следует учитывать необходимость обеспечения минимальных затрат на выполнение измерений и их обработку и наиболее полного исключения систематических погрешностей.
5.5. Средства измерений должны отвечать требованиям ГОСТ 8.002-71 и ГОСТ 8.326-78.
6. Выполнение измерений
6.1. При подготовке к измерениям должен быть обеспечен свободный доступ к объекту измерения и возможность размещения средств измерения. Места измерений, при необходимости, должны быть очищены, размечены или замаркированы. Средства измерений должны быть проверены и подготовлены в соответствии с инструкцией по их эксплуатации.
При подготовке и в процессе измерений должно быть обеспечено соблюдение требований безопасности труда.
6.2. В качестве нормальных условий измерений, если другое не установлено в нормативно-технической документации на объект измерения, принимают:
температуру окружающей среды 293 К (20 °С);
атмосферное давление 101,3 кПа (760 мм рт.ст.);
относительную влажность окружающего воздуха 60%;
относительную скорость движения внешней cреды 0 м/с.
6.3. При выполнении измерений в условиях, отличающихся от нормальных, следует, при необходимости, фиксировать действительные значения указанных в п.6.2 величин для внесения поправок в результаты измерений в соответствии с п. 7.2.
6.4. Каждый геометрический параметр строительных элементов, конструкций, оборудования измеряют, как правило, в нескольких наиболее характерных сечениях или местах, которые указываются в нормативно-технической, проектной или технологической документации на объект измерения.
6.5. Измерения выполняют, как правило, двойными наблюдениями параметра в каждом из установленных сечений или мест (при числе повторных наблюдений в каждом сечении или месте m , равном двум).
При выполнении и контроле точности разбивочных работ, а также при установке формующего оборудования, приспособлений и оснастки и в других случаях, когда требуется повышенная точность, могут проводиться многократные наблюдения при числе повторных наблюдений m более 2.
При наличии наблюдений с грубыми погрешностями выполняют дополнительные наблюдения.
6.6. Для уменьшения влияния систематических погрешностей на результат измерения наблюдения производят в прямом и обратном направлениях, на разных участках шкалы отсчетного устройства, меняя установку и настройку прибора и соблюдая другие приемы, указанные в инструкции по эксплуатации на средства измерения. При этом должны быть соблюдены условия равноточности наблюдений (выполнение наблюдений одним наблюдателем, тем же методом, с помощью одного и того же прибора и в одинаковых условиях).
Перед началом наблюдений средства измерений следует выдерживать на месте измерений до выравнивания температур этих средств и окружающей среды.
7. Обработка результатов наблюдений и оценка точности измерений
ПРИЛОЖЕНИЕ 1
Рекомендуемое
РАСЧЕТ ПОГРЕШНОСТИ ПРИ ВЫБОРЕ МЕТОДОВ И СРЕДСТВ ИЗМЕРЕНИЙ
1. Определяют предельную погрешность измерения
в соответствии с п. 5.3 настоящего стандарта.
2. Принимают предварительно метод и соответствующие ему средства измерений.
3. Устанавливают перечень и определяют значения систематических и случайных составляющих погрешностей, влияющих на суммарную погрешность результата измерения.
При этом учитывают:
погрешности средства измерения, которые принимают по результатам его государственной или ведомственной поверки из свидетельства о поверке или из эксплуатационной документации на средство измерения;
погрешности принятого метода измерений. Их устанавливают на основе анализа приемов и операций, которые могут быть источниками погрешностей;
погрешности измерения значений параметров (температуры окружающего воздуха, давления и т.д.), определяющих нормальные условия измерений.
4. Вычисляют расчетную погрешность измерения по одной из формул:
При расчете по указанным формулам принимается, что составляющие погрешности независимы между собой или слабо коррелированы.
5. Для случаев, когда процесс измерения состоит из большого числа отдельных операций, на основе принципа равных влияний определяют среднее значение составляющих погрешностей
Выделяют те составляющие погрешности, которые легко могут быть уменьшены, увеличивая соответственно значения тех составляющих погрешностей, которые трудно обеспечить имеющимися методами и средствами.
6. Проверяют соблюдение условия (1) настоящего стандарта и в случае несоблюдения этого условия назначают более точные средства или принимают другой метод измерения.
7. Вычисления расчетной погрешности измерения могут не производиться, если принимают стандартный метод с известной для данных условий погрешностью измерения.
Пример. Выбрать средство измерения для контроля длины изделия,
ПРИЛОЖЕНИЕ 2
Рекомендуемое
Способы исключения систематических погрешностей
1. Исключение известных систематических погрешностей из результатов наблюдений или измерений выполняют введением поправок к этим результатам.
Поправки по абсолютному значению равны этим погрешностям и противоположны им по знаку.
2. Введением поправок исключают:
погрешность, возникающую из-за отклонений действительной температуры окружающей среды при измерении от нормальной;
погрешность, возникающую из-за отклонений атмосферного давления при измерении от нормального;
погрешность, возникающую из-за отклонений относительной влажности окружающего воздуха при измерении от нормальной;
погрешность, возникающую из-за отклонений относительной скорости движения внешней среды при измерении от нормальной;
погрешность, возникающую вследствие искривления светового луча (рефракции);
погрешность шкалы средства измерения;
погрешность, возникающую вследствие несовпадения направлений линии измерения и измеряемого размера.
3. Поправки по указанным погрешностям вычисляют в соответствии с указаниями таблицы.
Поправки для исключения систематических погрешностей

Обозначения, принятые в таблице:

ПРИЛОЖЕНИЕ 3
Рекомендуемое
ОЦЕНКА ТОЧНОСТИ ИЗМЕРЕНИЙ
1. Оценку точности измерений производят:
предварительно до начала измерений путем обработки результатов специально выполненных наблюдений;
после окончания измерений путем обработки результатов наблюдений, выполненных в процессе этих измерений.
2. Для оценки точности измерений используют многократные наблюдения параметра в одном из установленных сечений (мест) или двойные наблюдения параметра в разных сечениях (местах) одного или нескольких объектов измерений.
Общее число наблюдений M, необходимое для оценки точности результата измерений, составляет:
для предварительной оценки — 20;
для оценки точности выполненных измерений — не менее 6.
Для уменьшения влияния систематических погрешностей измерения выполняют в соответствии с требованиями п. 6.6 настоящего стандарта.
3. Оценку точности измерений производят путем определения действительной погрешности измерения
Таблица 1
| Доверительные вероятности
|
Значения t при M , равном
|
|||
|
|
20
|
10
|
8
|
6
|
| 0,95
|
2
|
2,3
|
2,4
|
2,6
|
| 0,99
|
2,5
|
3,2
|
3,5
|
4,0
|
Среднюю квадратическую погрешность измерения при многократных наблюдениях параметра определяют по формуле
Пример. Произвести предварительную оценку точности измерений длинномером длины изделий при контроле точности их изготовления. Измерение длины каждого изделия в процессе контроля будет выполняться при числе наблюдений m = 2.
Выполняют многократные наблюдения длины одного изделия при числе наблюдений M = 20. Для уменьшения влияния систематической погрешности первые десять наблюдений выполняют в одном направлении каждый раз со сдвигом шкалы рулетки на 70 — 90 мм, а вторые десять наблюдений — в другом направлении с тем же сдвигом шкалы.
Результаты наблюдений и последовательность их обработки приведены в табл. 2 (для упрощения приведены результаты только 10 наблюдений, т.е. M = 10).
6. При двойных наблюдениях близких по значению линейных размеров среднюю квадратическую и остаточную систематическую погрешность результата измерения определяют в соответствии с табл.3. При этом имеется в виду, что наблюдения являются равноточными в паре и между парами.
Обозначения, принятые в табл. 3:
![]()
— результаты первого и второго наблюдений в паре параметра в одном из установленных сечений (мест). Для обеспечения правильной оценки все первые наблюдения в установленных сечениях (местах) выполняют в одном направлении (или при одной установке прибора) и все вторые — в обратном направлении (или при симметричной установке прибора), а запись результатов наблюдений — в строгом соответствии с порядком их выполнения;
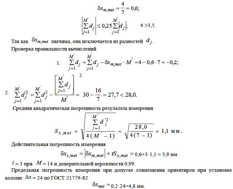
Пример. Произвести оценку точности измерений, выполненных методом бокового нивелирования двойными наблюдениями при контроле отклонений от разбивочных осей низа 7 смонтированных колонн. Произведено 7 пар наблюдений при двухкратной установке теодолита над центром пункта пространственной геодезической сети, которые являются равноточными в паре и между парами. Результаты наблюдений и последовательность их обработки приведены в табл. 4.
Вычисляют остаточную систематическую погрешность и проверяют ее значимость:
Проверяем соблюдение условия (1) настоящего стандарта: 3,9 мм < 4,8 мм.
Действительная точность соответствует требуемой.
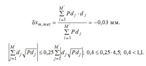
7. При двойных наблюдениях, существенно различных по значению между парами линейных размеров, среднюю квадратическую и остаточную систематическую погрешность результата измерений определяют в соответствии с табл. 5. При этом наблюдения в паре являются равноточными, а между парами — неравноточными.
Обозначения, принятые в табл.5:
С — любая постоянная величина;
остальные — см. выше.
Пример. Произвести оценку точности измерений, выполняемых рулеткой при контроле точности детальных разбивочных работ двойными наблюдениями расстояний между разбивочными осями.
Наблюдения в паре равноточны, а между парами, вследствие большой разницы в значениях расстояний, неравноточны.
Выполнено 8 пар наблюдений (по числу имеющихся в натуре ориентиров).
Вычисляют остаточную систематическую погрешность и проверяют ее значимость
Следовательно, остаточной систематической погрешностью можно пренебречь.
Действительные абсолютные погрешности измерения для каждой пары наблюдений вычислены в табл. 6 при t = 2,2 ( M= 16, доверительная вероятность 0,95).
Предельные погрешности измерений для каждой пары наблюдений, вычисленные по формуле (2) настоящего стандарта, приведены в табл.6. Допуски на разбивку осей в плане определялись по табл. 5 ГОСТ 21779-82 соответственно 6-му классу точности.
Действительные погрешности измерений, в основном, не превышают требуемых. Наблюдения с порядковым номером 4 следует повторить при m= 3:4.

















