ГОСУДАРСТВЕННЫЙ СТАНДАРТ СОЮЗА ССР
ГРУНТЫ
МЕТОД ЛАБОРАТОРНОГО ОПРЕДЕЛЕНИЯ
МАКСИМАЛЬНОЙ ПЛОТНОСТИ
ГОСТ 22733-77
Издание официальное
ГОСУДАРСТВЕННЫЙ КОМИТЕТ СОВЕТА МИНИСТРОВ СССР
ПО ДЕЛАМ СТРОИТЕЛЬСТВА
РАЗРАБОТАН Государственным Всесоюзным дорожным научно-исследовательским институтом (Союздорнии) Министерства транспортного строительства
Директор Н. В. Горелышев
Руководитель темы Н. С. Бирюков
Исполнители: Н. С. Бирюков, Ю. М. Васильев, А. Г. Полуновский
ВНЕСЕН Министерством транспортного строительства
Зам. министра Н. И. Литвин
ПОДГОТОВЛЕН К УТВЕРЖДЕНИЮ Отделом технического нормирования и стандартизации Госстроя СССР
Начальник отдела В. И. Сычев
Начальник подотдела правил строительного производства и норм продолжительности строительства А. А. Лысогорский
Ст. инженер В. И. Серегина
Отделом научных основ стандартизации ЦНИИПромзданий
Начальник отдела С. Н. Нерсесов
Ст. научный сотрудник С. В. Тимофеев
УТВЕРЖДЕН И ВВЕДЕН В ДЕЙСТВИЕ Постановлением Государственного комитета Совета Министров СССР по делам строительства 30 сентября 1977 г. № 150
ГОСУДАРСТВЕННЫЙ СТАНДАРТ СОЮЗА ССР
___________________________________________________________
ГРУНТЫ
ГОСТ
Метод лабораторного определения
максимальной плотности 22733-77
Soils. A laboratory method for
determining maximum density
___________________________________________________________
Постановлением Государственного комитета Совета Министров СССР по делам строительства от 30 сентября 1977 г. № 150 срок введения установлен
с 01.07. 1978 г.
Несоблюдение стандарта преследуется по закону
Настоящий стандарт распространяется на глинистые, песчаные и гравийные грунты и устанавливает метод лабораторного определения максимальной плотности скелета грунта и оптимальной влажности грунта, используемых при назначении требуемой плотности грунтов, а также при контроле влажности уплотняемых грунтов и качества уплотнения их в земляных сооружениях и основаниях зданий и сооружений.
Стандарт не распространяется на грунты, содержащие более 30% зерен крупнее 10 мм, а также на заторфованные грунты.
1. ОБЩИЕ ПОЛОЖЕНИЯ
1.1. Метод заключается в установлении зависимости плотности скелета грунта от его влажности при трамбовании образцов с постоянной затратой работы на их уплотнение и в определении по этой зависимости максимальной величины плотности скелета грунта (gмакс).
Влажность, при которой достигнута максимальная плотность скелета грунта, является оптимальной влажностью (Wопт).
1.2. Для установления зависимости плотности скелета грунта от его влажности проводят серию отдельных испытаний грунта на уплотнение с последовательным увеличением его влажности. Результаты испытаний представляют о виде графика. Количество отдельных испытаний для построения графика должно быть не менее шести, а также достаточным для выявления максимального значения плотности скелета грунта.
1.3. Испытание грунтов осуществляют в приборе «Союздорнии» для стандартного уплотнения грунтов (см. приложение 1) путем послойного трамбования грунта ударами груза массой 2,5 кг, падающего с высоты 300 мм; при этом общее число ударов должно составить 120.
1.4. Все результаты, получаемые в процессе подготовки и испытаний грунта, должны заноситься в журнал определения максимальной плотности скелета грунта по форме, приведенной в приложении 2.
2. ОТБОР ПРОБ ГРУНТА
2.1. Пробы грунта (образцы нарушенного сложения) следует отбирать в естественных и искусственных обнажениях и горных выработках из однородного по виду слоя грунта согласно требованиям ГОСТ 12071—72. Масса пробы грунта должна быть не менее 10 кг. Каждая отобранная проба грунта должна быть снабжена данными о наименовании объекта, мощности данного слоя, глубине, месте и дате отбора грунта, а также наименовании грунта по визуальному определению.
3. АППАРАТУРА
3.1. Для проведения испытаний требуются целующие приборы, оборудование и инструменты:
прибор Союздорнии для стандартного уплотнения грунтов;
весы настольные гирные или циферблатные по ГОСТ 13882—68;
весы лабораторные по ГОСТ 19491—74;
гири по ГОСТ 7328—73;
машина растирочная (бегуны лабораторные) или ступка № 7 (диаметром по верху 240 мм) с пестиком, снабженным резиновым наконечником, по ГОСТ 9147—73;
шкаф сушильный по ГОСТ 7365—55;
сито с отверстиями 10 мм;
эксикатор типа Э-250 по ГОСТ 6371—73;
чашки металлические емкостью не менее 5 л;
цилиндры мерные с носиком емкостью 100 и 500 мл по ГОСТ 1770—74;
лопаточка мастерок;
линейка металлическая длиной 30 см по ГОСТ 427—75;
штангенциркуль ШЦ-1-125, модель 183 по ГОСТ 166—73;
нож лабораторный;
стаканчики алюминиевые для взвешивания;
кисточки.
Примечание. Допускается применять приборы с параметрами, отличными от прибора Союздорнии, и соответствующим изменением методики, при условии, что для данного вида грунта экспериментально доказана идентичность получаемых при этом результатов с результатами испытаний в приборе Союздорнии.
4. ПОДГОТОВКА К ИСПЫТАНИЯМ
4.1. Подготовка грунта
4.1.1. Подготовка грунта к испытаниям состоит из следующих операций:
обработка пробы грунта массой 10 кг;
выделение и подготовка отдельных проб грунта массой 2,5 кг к испытанию.
4.1.2. Обработка пробы грунта массой 10 кг должна производиться в следующем порядке:
высушивание в помещении при комнатной температуре до воздушно-сухого состояния, при котором можно производить размельчение и просеивание грунта;
размельчение (без дробления зерен) в ступке пестиком с резиновым наконечником или в растирочной машине (лабораторными бегунами);
взвешивание (масса т1);
просеивание сквозь сито с отверстиями размером 10 мм;
отбор проб массой не менее 30 г из грунта, прошедшего сквозь сито, для определения влажности (W1) по ГОСТ 5180—75;
взвешивание зерен размером крупнее 10 мм (масса m2) и отбор из них проб для определения влажности (W2) и плотности зерен (r) по ГОСТ 8269—76.
4.1.3. Содержание в грунте зерен крупнее 10 мм (X) в процентах устанавливают по формуле
4.1.4. Выделение отдельных проб массой 2,5 кг и подготовка их к испытанию должны производиться в следующем порядке:
перемешивают грунт, прошедший сквозь сито, и распределяют его ровным слоем на листе картона, фанеры или плотной бумаги;
выделяют не менее двух отдельных проб массой 2,5 кг каждая (т3) методом квартования и отбирают их в металлические чашки для испытания;
отобранные отдельные пробы грунта доувлажняют до исходной влажности (W3), принимаемой равной 4% для песчаных, гравийных грунтов и 8% Для глинистых грунтов. Необходимой для доувлажнения пробы грунта количество воды (Q) определяют по формуле
вводят в пробы грунта рассчитанное количество воды и одновременно перемешивают грунт лопаточкой-мастерком;
переносят пробы грунта из чашек в эксикаторы и выдерживают их не менее 2 ч при закрытых крышках эксикаторов.
4.2. Подготовка прибора
4.2.1. Подготовка прибора к испытанию должна осуществляться в следующей последовательности:
устанавливают цилиндр в поддон, не зажимая его винтами;
устанавливают кольцо на бортик цилиндра;
зажимают цилиндр попеременно винтами поддона и кольца;
проверяют размеры цилиндра штангенциркулем; при этом внутренний диаметр и глубина должны быть равны соответственно 100 и 127 мм;
определяют массу (m4) собранного контейнера (цилиндр с поддоном и кольцом) с погрешностью до 1 г и заносят данные в журнал (см. приложение 2);
устанавливают собранный контейнер прибора на жесткое неподвижное основание массой не менее 50 кг.
5. ПРОВЕДЕНИЕ ИСПЫТАНИЙ
5.1. Испытания грунта проводят последовательно с отдельными пробами грунта. Влажность пробы при первом испытании должна равняться исходной, установленной в п. 4.1.4. При каждом после-дующем испытании влажность следует увеличивать на 1—2% для песчаных, гравийных грунтов и 2—3 % для глинистых грунтов. Количество воды для доувлажнения пробы определяют по формуле (2), принимая в ней за m3 — массу грунта, оставшегося от предыдущего испытания, а за W1 и W3 — соответственно влажности, задаваемые при предыдущем и очередном испытаниях.
5.2. Каждую отдельную пробу следует испытывать не более трех раз. При испытании грунтов, содержащих зерна, легко разрушающиеся при трамбовании, каждую пробу испытывают только один раз.
5.3. Уплотнение грунта каждой пробы должно выполняться путем последовательного трамбования трех слоев.
5.4. Испытание грунта надлежит проводить в следующем порядке:
подготовленную пробу грунта переносят из эксикатора в металлическую чашку, а затрем слоями загружают в цилиндр прибора, прижимая грунт трамбовкой. Каждый слой должен иметь высоту 5—6 см и уплотняться 40 ударами груза; при этом стержень трамбовки необходимо удерживать в вертикальном положении. Перед загрузкой второго и третьего слоев поверхность предыдущего слоя взрыхляют ножом на глубину 1—2 мм. Перед укладкой третьего слоя на цилиндр надевают насадку;
после уплотнения третьего слоя насадку снимают и срезают выступающую часть образца заподлицо с торцом цилиндра. Толщина слои срезаемого грунта не должна быть болей 10 мм. При большей толщине необходимо провести повторное испытание с уменьшенными толщинами слоев уплотняемого грунта;
определяют массу контейнера с грунтом (m5) с погрешностью до 1 г и рассчитывают плотность влажного образца грунта (g) с погрешностью до 0,01 г/см3 по формуле.
где V —емкость цилиндра, равная 1000 см3;
снимают поддон и кольцо, раскрывают цилиндр и извлекают уплотненный образец грунта. Из верхней, средней и нижней частей образца отбирают по одной пробе массой не менее 30 г для определения влажности грунта (W) по ГОСТ 5180—75;
извлеченный из цилиндра грунт присоединяют к оставшейся в чашке части пробы, растирают, перемешивают и взвешивают. Затем повышают влажность пробы согласно п. 5.1. После добавления воды грунт перемешивают, накрывают влажной тканью и выдерживают не менее 15 мин.
5.5. Второе и последующие испытания грунта на уплотнение должны проводиться в соответствии с пп. 5.2—5.4.
5.6. Испытания по определению максимальной плотности скелета грунта следует считать законченными тогда, когда с повышением влажности пробы при последующих двух, трех испытаниях на уплотнение происходит последовательное уменьшении значении плотности уплотненных образцов грунта или когда грунт перестает уплотняться и начинает при ударах груза выжиматься из прибора.
6. ОБРАБОТКА РЕЗУЛЬТАТОВ
6.1. По полученным в результате испытаний значениям плотности и влажности уплотненных образцов определяют плотность скелета грунта (gск) с погрешностью до 0,01 г/см3 по формуле
6.2. Строят график зависимости плотности скелета от влажности грунта (см. приложение 3), откладывая по оси абсцисс влажность уплотненных образцов в масштабе 1 см — 2%, а по оси ординат — плотность скелета грунта в масштабе 1 см — 0,05 г/см3. Находят максимум полученной зависимости и соответствующие ему величины максимальной плотности скелета грунта (gск) на оси ординат и оптимальной влажности (Wопт) на оси абсцисс. Точность считывания значений должна быть для gмакс — 0,01 г/см3, а для Wопт ¾ 0,1%.
Если при построении графика кривая зависимости получается без заметно выраженного пика, что может иметь место для песчаных и гравийных грунтов, за gмакс следует принимать достигнутую максимальную плотность скелета грунта, а за Wопт — наименьшее значение влажности, при которой достигается максимальная плотность скелета грунта.
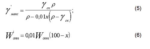
6.3. Если в грунте содержались зерна крупнее 10 мм, которые перед испытанием согласно п. 4.1.2 были удалены из пробы грунта, то для учета влияния таких зерен на величину максимальной плотности грунта необходимо полученные значения gмакс и Wопт для части пробы, прошедшей сквозь сито с отверстиями размером 10 мм, пересчитать на значения для исследуемого грунта в целом (с включением зерен крупнее 10 мм) по формулам:
ПРИЛОЖЕНИЕ 1
Обязательное
Схема прибора Союздорнии для стандартного уплотнения грунтов

1 ¾ поддон; 2 ¾ разъемный цилиндр емкостью 1000 см3;
3 — кольцо; 4 — насадка; 5 — наковальня; 6 — груз массой 2,5 кг:; 7 — направляющий стержень; 8 — ограничительное кольцо; 9 — зажимные винты.
ПРИЛОЖЕНИЕ 2
Обязательное
ЖУРНАЛ ОПРЕДЕЛЕНИЯ МАКСИМАЛЬНОЙ ПЛОТНОСТИ СКЕЛЕТА ГРУНТА
Объект ____________________________________________________
Место отбора грунта ________________________________________
Глубина отбора грунта, м ________ ; мощность слоя грунта, м ______
Вид грунта ____________________. Дата отбора __________________
Масса пробы грунта (после размельчения) m1, кг __________________.
Данные по остатку на сите зерен (после просеивания пробы):
а) масса зерен т2, кг ___________; б) влажность зерен W2 _________
%___________ ; в) плотность зерен r, г/см3 ___________ ;
содержание зерен х, % __________
Влажность прошедшего сквозь сито грунта W1, % __________________
Масса отобранных для испытания проб грунта т3, кг ________________
Максимальная плотность скелета грунта gмакс, г/см3 ___________
Оптимальная влажность грунта Wопт, % _________________
Максимальная плотность скелета грунта с учетом зерен крупнее 10 мм г/см3 ______________.
Оптимальная влажность грунта с учетом зерен крупнее 10 мм
% __________
Дата испытаний ________________ (начало) _______________ (конец)
| Номер | Определение плотности | Определение влажности | Плотность скелета
уплотненного образца грунта gск= g___ 1+0,01W см3 |
||||||||
| испытания | Масса, г |
номер |
Масса, г | Влажность
W, % |
|||||||
| контейнера без насадки m4
|
контейнера без насадки с уплотненным образцом грунта m5
|
уплотненного образца грунта m5 – m4 | плотность уплотненного образца грунта g=m5–m4
V г/см3 |
бюкса | пустого бюкса
m6 |
бюкса с влажной пробой грунта m7 | бюкса с сухим грунтом m8 | m7–m8
m8–m6 |
средняя арифметическая | ||
| 1 | 2 | 3 | 4 | 5 | 6 | 7 | 8 | 9 | 10 | 11 | 12 |
|
|
|||||||||||
ПРИЛОЖЕНИЕ 3
Справочное
Пример построения графика зависимости плотности скелета грунта от влажности при стандартном уплотнении





