ГОСУДАРСТВЕННЫЙ СТАНДАРТ СОЮЗА ССР
ГРУНТЫ
МЕТОДЫ ПОЛЕВЫХ ИСПЫТАНИЙ МЕРЗЛЫХ ГРУНТОВ
ГОСТ 23253-78
ГОСУДАРСТВЕННЫЙ КОМИТЕТ СССР ПО ДЕЛАМ СТРОИТЕЛЬСТВА
РАЗРАБОТАН Государственным комитетом СССР по делам строительства
ИСПОЛНИТЕЛИ
Н. П. Чубарова. канд. геол.-минер. наук; А. П. Старицын, канд. техн. наук; В. М. Водолазкин
ВНЕСЕН Государственным комитетом СССР по делам строительства
Член Коллегии В. И. Сычев
УТВЕРЖДЕН И ВВЕДЕН В ДЕЙСТВИЕ Постановлением Государственного комитета СССР по делам строительства от 8 августа 1978 г. № 158
ГОСУДАРСТВЕННЫЙ СТАНДАРТ СОЮЗА ССР
ГРУНТЫ
Методы полевых испытаний мерзлых грунтов ГОСТ
Soils. Method of field investigation 23253-78
frosen soils
Постановлением Государственного комитета СССР по делам строительства от 8 августа 1978 г. № 158 срок введения установлен
с 01.07. 1979 г.
Несоблюдение стандарта преследуется по закону
Настоящий стандарт распространяется на грунты в мерзлом состоянии и устанавливает методы полевых испытаний при исследовании их для строительства.
Стандарт не распространяется на крупнообломочные и сильновыветрелые скальные грунты с обломками размером более 15 см.
1. ОБЩИЕ ПОЛОЖЕНИЯ
1.1. Полевые испытания следует проводить для определения механических характеристик мерзлых, оттаивающих и промерзающих грунтов.
1.2. Испытания следует проводить непосредственно на поверхности грунта или в открытых и подземных горных выработках.
1.3. Размеры сечения горной выработки в плане следует устанавливать с учетом необходимости возведения крепи выработки и обеспечения удобства производства работ, но не менее 2 X 2 м.
1.4. Высота горной выработки при проведении испытаний грунтов в штольне (штреке) определяется габаритами установки, применяемой для испытаний, и должна быть не менее 1,8 м.
1.5. Площадка, выбранная для проведения испытаний грунтов или заложения горной выработки, должна быть спланирована и оконтурена водоотводной канавой. Размеры площадки устанавливают из условий необходимости размещения горной выработки и установки для испытаний.
1.6. Проходку горных выработок надлежит осуществлять до требуемой то условиям испытаний глубины, но не менее глубины максимального сезонного оттаивания, а в условиях несливающейся вечномерзлой толщи — до верхней границы этой толщи.
1.7. Технологию проходки выработки следует принимать из условий сохранения естественного сложения мерзлых грунтов.
1.8. Термины и определения приведены в приложении 1.
1.9. В процессе проходки горных выработок следует вести документацию (приложение 2) литологического и криогенного строения грунтов с тщательным замером ледяных включений и определением физических характеристик мерзлых грунтов по 2—3 монолитам, отобранным из испытываемого слоя в угловых точках выработки, весом не менее 5—10 кг.
2. МЕТОД ИСПЫТАНИЯ ГОРЯЧИМ ШТАМПОМ
2.1. Метод полевого испытания горячим штампом следует при¬менять для определения характеристик оттаивающих грунтов — коэффициентов оттаивания А и сжимаемости а.
Коэффициенты оттаивания А и сжимаемости а надлежит определять по величине относительной деформации, полученной по результатам испытаний горячим штампом грунтов под природным давлением и последующим уплотнением их ступенчато-возрастающей нагрузкой.
2.2. Аппаратура
2.2.1. В состав установки для испытаний грунтов должны входить следующие основные узлы:
штамп с внутренним обогревом;
обогревающее устройство;
устройство для нагрузки штампа;
измерительная система для регистрации величин нагрузок и осадок штампа и температуры грунта;
насос для откачки воды.
2.2.2. Конструкции установок должны обеспечивать:
нагрузки на штамп ступенями давления 0,5—2 кгс/см²;
центрированную передачу нагрузки на штамп;
постоянство каждой ступени давления;
исключение продольного изгиба штанг (крепление штанг при большой глубине испытаний по четырем направлениям).
2.2.3. Штамп следует применять жесткий круглый плоский со сплошной подошвой площадью F = 5000 см².
Конструкция штампа должна обеспечивать равномерный нагрев его днища электронагревателями или горячей водой до температуры не более 90 °С.
2.2.4. Обогревающее устройство для расширения зоны оттаивания должно быть расположено по периметру штампа шириной кольца 0,3 его диаметра и обеспечивать равномерное оттаивание грунта под штампом. При испытании грунтов с суммарной влажностью выше границы текучести должна быть предусмотрена пригрузка обогревающего устройства, равная природному давлению на отметке установку штампа.
2.2.5. Нагрузку на штамп надлежит осуществлять домкратами (или тарированным грузом), обеспечивающими постоянное заданное давление.
2.2.6. Манометры для контроля давления жидкости в домкратах и динамометры при применении тарированного груза должны иметь верхний предел измерений на 10—15% выше значения максимальной нагрузки на штамп.
2.2.7. Измерительная система должна обеспечивать точность измерений:
вертикальных перемещений штампа (индикаторами часового типа, индуктивными датчиками или прогибомерами) 0,1 мм;
температур грунта под штампом 0,1 °С.
2.2.8. Реперная система с датчиками деформаций должна быть закреплена в мерзлый грунт устья или забоя горной выработки (при условии обеспечения полной неподвижности системы) и защищена от воздействия солнечных лучей, ветра и атмосферных осадков.
2.3. Подготовка к испытанию
2.3.1. Перед установкой штампа забой горкой выработки следует тщательно выровнять и зачистить до ненарушенного мерзлого грунта. Для обеспечения надежности контакта с грунтом под штамп следует сделать подушку толщиной не более 2 см из маловлажного песка средней крупности.
2.3.2. На подготовленный забой горной выработки по ее центру следует установить штамп с обогревающим устройством, смонтировать загрузочное устройство для передачи на штамп статической нагрузки, оборудовать реперную систему и установить все необходимые приборы и приспособления.
2.3.3. После полного завершения подготовки установки к испытаниям необходимо провести проверку правильности и надежности монтажа установки и ее отдельных узлов, а также условий безопасности работы во время испытаний.
2.3.4. Перед началом испытаний для достижения полного контакта штампа с грунтом, обжатия всех конструктивных элементов установки и для исключения разуплотнения мерзлого грунта следует приложить на штамп (без включения его обогрева) нагрузку обжатия, равную природному давлению на горизонте установки штампа (с учетом собственного веса штампа и деталей установки, несбалансированных противовесами), но не менее 0,5 кгс/см². Нагрузку следует выдерживать до условной величины стабилизации осадки штампа. Затем (без сброса нагрузки обжатия) установить датчики деформаций на нулевые деления и записать значения их как исходные в журнале испытаний (приложение 2).
2.3.5. Контроль глубины оттаивания грунта поя штампом надлежит проводить с помощью температурных датчиков и металлического щупа. Температурные датчики следует устанавливать с интервалом в 10 см в 2 скважины, пробуренные по краям штампа, диаметром 3—4 см и глубиной до 80 см. Скважины необходимо тщательно гидроизолировать охлажденным глинистым грунтом.
2.4. Проведение испытания
2.4.1. Испытание вечномерзлых грунтов статическими нагрузками с использованием горячего штампа следует выполнять в два этапа:
1-й этап — создание под штампом зоны оттаявшего грунта на глубину 0,5 диаметра штампа под нагрузкой Р1, равной природному давлению грунта Рб на глубине установки штампа (в первую ступень нагрузки Р1 = Рб включается вес штампа и деталей установки, несбалансированных противовесами);
2-й этап — уплотнение оттаявшего грунта ступенчато-возрастающей нагрузкой, которой соответствуют ступени давления Р2, Р3 ,…, Рn. Общее количество ступеней давления должно быть не менее пяти.
2.4.2. На 1-м этапе испытаний надлежит включить обогрев штампа и обогревающего устройства.
Обогрев штампа и обогревающего устройства следует производить до тех пор, пока глубина оттаивания под штампом не станет равной 25—30 см. После этого обогрев прекращают и дальнейшее оттаивание грунта до глубины 0,5 диаметра штампа (примерно 40 см) происходит за счет запаса тепла в оттаявшем слое.
При понижении температуры грунта на глубине 40 см ниже 0 °С следует производить кратковременный обогрев штампа, обеспечивающий поддержание оттаивания грунта под штампом в течение испытаний до глубины, равной 0,5 диаметра штампа.
2.4.3. Отсчеты по температурным датчикам необходимо производить на 1-м этапе испытаний сначала через каждый час, а по мере приближения границы оттаивания к глубине 40 см — через каждые 15 мин. На 2-м этапе испытаний отсчеты по температурным датчикам снимают одни раз перед очередной ступенью давления.
2.4.4. Замеры глубины оттаивания грунта металлическим щупом (п. 2.3.5) следует производить на 1-м этапе испытаний дважды: после прекращения прогрева и при достижении нулевых температур на глубине 40 см, а на 2-м этапе — один раз перед очередной ступенью давления.
2.4.5. После стабилизации осадки оттаявшего грунта под природным давлением (1-й этап испытаний) на штамп дают ступенчато-возрастающие нагрузки (2-й этап испытаний). Нагрузку на каждой ступени давления следует производить только после стабилизации осадки от предыдущей ступени.
2.4.6. Измерение вертикальных перемещений штампа датчиками деформаций необходимо производить на обоих этапах испытаний для всех грунтов через 10, 20, 30 и 60 мин от начала испытаний и далее через каждый час до условной стабилизации осадки штампа на каждой ступени давления.
2.4.7. За условную стабилизацию осадки принимают приращение осадки штампа за 1 ч не более 0,05 мм для глинистых грунтов и 0,1 мм для песчаных, крупнообломочных и сильновыветрелых скальных грунтов.
2.4.8. Величину ступени давлений на штамп на 2-м этапе испытаний следует принимать: для глинистых грунтов — 0,5 кгс/см², для песчаных грунтов — 0,75 кгс/см², для крупнообломочных грунтов —1,0 кгс/см², для сильновыветрелых скальных пород — 2 кгс/см².
2.4.9. После окончания испытания установку следует демонтировать, с поверхности оттаявшего грунта под штампом удалить верхний слой толщиной 10 см и отобрать два-три монолита для лабораторных определений необходимых характеристик оттаявшего и уплотненного грунта. После этого следует удалить талый грунт, замерить и зарисовать чашу оттаявшего грунта под штампом (приложение 3).
2.4.10. Осадку штампа надлежит определять как среднее арифметическое показаний трех датчиков, регистрирующих перемещение равноотстоящих друг от друга крайних точек штампа.
2.5. Обработка результатов
2.5.1. Результаты испытаний следует обрабатывать отдельно для каждого исследуемого слоя. Вычисляют среднее значение глубин оттаивания грунта (под центром и краями штампа) Н и приращение абсолютной осадки штампа ∆Si для каждой ступени давления.
2.5.2. Для каждой ступени давления следует вычислить среднее значение приращения относительной осадки ∆δi полной величины относительной осадки слоя по формулам:
причем δ1 = ∆δ1.
Совокупность величин δ1i каждого слоя представляют в виде графика прямолинейной зависимости (см. чертеж).
Построение графика δ1 = f(Pi) выполняют в масштабе: для Р 1 кгс/см² = 50 или 30 мм, для δ1 0,01 = 50 или 30 мм. За начальные значения Р1 и δ1 (первая точка, включаемая в обработку) принимают такие значения, которые соответствуют природному давлению для исследуемого слоя грунта, за конечные значения Рп и δп (последняя точка, включаемая в обработку) — такие, при которых нагрузка вызывает приращение осадки, превышающей ее значение на предыдущей ступени не более чем в два раза. Через нанесенные на график точки по методу наименьших квадратов проводят осредняющую прямую. Для построения осредняющей прямой допускается использование графических методов.
2.5.3. Коэффициент оттаивания А следует определять по графику δ1 = f(Pi) и принимать равным отрезку, отсекаемому осредняющей прямой на оси ординат.
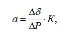
Коэффициент сжимаемости а, см²/кгс, следует определять по формуле
где ∆δ — устанавливаемое по графику приращение значения относительной осадки на осредняющей прямой, соответствующее интервалу давления ∆Р, кгс/см²;
К — безразмерный коэффициент напряженно-деформативного состояния грунта, который принимают равным для крупнообломочных грунтов и сильновыветрелых скальных пород — 1,35; для песков и супесей — 1,30, для суглинков — 1,20, для глин — 1.
При необходимости по полученным значениям а вычисляют модуль деформации грунта Е по формуле
где β — коэффициент, значения которого принимают равным для крупнообломочных грунтов и сильновыветрелых скаль¬ных пород — 0,8; для пестов и супесей — 0,74; для суглинков — 0,62; для глин — 0,40.
2.5.4. Результаты испытаний и определений характеристик грунтов следует регистрировать в журнале испытаний (приложение 2) с указанием вида и состава грунта, его криогенной текстуры, льдистости, суммарной влажности и объемного веса скелета грунта до и после оттаивания. Коэффициент А необходимо определять с точностью до одной тысячной, а коэффициент а — до одной десятитысячной.
ПРИЛОЖЕНИЕ 1
ТЕРМИНЫ И ОПРЕДЕЛЕНИЯ
| Термин
|
Определение
|
|
Грунты мерзлые
Выработки горные
Текстура криогенная
Штамп горячий Коэффициенты оттаивания и сжимаемости Устройство обогревающее
Система измерительная
Давление природное в грунте
Ступень давления
Условная стабилизация осадки
Физические характеристики грунтов
Центрированная нагрузка
Постоянство каждой ступени давления
Чаша оттаивания
|
Грунты, имеющие отрицательную температуру и содержащие в своем составе лед Искусственно созданные пустоты в земной коре (место испытания грунтов горячим штампом) Расположение, форма и величина ледяных включений в мерзлом грунте Штамп с внутренним обогревом Характеристики деформаций оттаивающего грунта Кольцевое устройство вокруг штампа с внутренним обогревом для расширения зоны оттаивания Комплекс приборов и приспособлений, предназначенных для измерения и регистрации величин нагрузок, осадок штампа и температуры грунта Вертикальное давление в массиве грунтов на данной глубине, зависимое от веса выше лежащих слоев грунта Величина приращения давления на штамп при испытаниях Приращение величины осадки штампа во времени, характеризующее практические затухание деформаций грунта в основании штампа Показатели физических свойств грунта, включающие объемный вес, удельный вес, влажность и др. Вертикальная нагрузка, равнодействующая которой приложена по центру штампа Сохранение практически без изменения величины давления на штамп до передачи очередной ступени давления Контур (объём) оттаявшего под штампом грунта |
ПРИЛОЖЕНИЕ 2
ЖУРНАЛ
испытаний мерзлых грунтов методом горячего штампа
Испытание № __________
Наименование организации Пункт ______________________
______________________________
______________________________ Объект _____________________
Площадь штампа ________ см² Сооружение _________________
Площадь обогревающего устройства
________________ см² Дата испытания:
Тип обогреваемого штампа и начало ______________________
кольца ________________________
Абсолютная отметка: окончание ___________________
подошва штампа ____________ м
устье выработки _____________ м
Глубина залегания испытываемого слоя грунта _______________________м
Наименование испытываемого грунта и его краткая характеристика
________________________________________________________________
________________________________________________________________
Краткая характеристика установки для испытаний _____________________
Ответственный исполнитель _______________________________________
Наблюдатели ____________________________________________________
Адрес организации _______________________________________________
ТЕХНИЧЕСКИЕ ДАННЫЕ ПРИБОРОВ
Домкрат № ______________________________________________________
Его грузоподъемность _____________________________________________
Площадь плунжера ________________________________________см²
Манометр № ___________ и его краткая характеристика ________________
_________________________________________________________________
Датчики деформаций и их краткая характеристика _____________________
_________________________________________________________________
Температурные датчики и их краткая характеристика ____________________
__________________________________________________________________
Схематический план расположения и геологическое описание горной выработки
________________________________________________________________
СТРАНИЦЫ ЖУРНАЛА
Объект _________ Выработка № _________ Испытание № _________
Данные наблюдений за осадкой штампа в процессе оттаивания и уплотнения грунта
СТРАНИЦЫ ЖУРНАЛА
Замеры температуры грунта под штампом
|
Дата замера, ч, мин |
Глубина заложения температурных датчиков, см |
0,0 |
10 |
20 |
30 |
40 |
50 |
60 |
70 |
80 |
Примечание |
|||||||||
|
Показания, |
Место заложения температурных датчиков под краями штампа
|
|||||||||||||||||||
| °С
|
Л | П | Л | П | Л | П | Л | П | Л | П | Л | П | Л | П | Л | П | Л | П | ||
| 1 | 2 | 3 | 4 | 5 | 6 | 7 | 8 | 9 | 10 | 11 | 12 | 13 | 14 | 15 | 16 | 17 | 18 | 19 | 20 | 21 |
Л — левый температурный датчик;
П — правый температурный датчик
СТРАНИЦЫ ЖУРНАЛА
Контрольные замеры глубины оттаивания грунта под штампом металлическим щупом
|
Величина |
Место контрольного замера | |||
| Дата замера,
ч, мин
|
ступени давления,
кгс/см² |
у края штампа |
у внешнего края обогревающего устройства | на расстоянии
20 см от обогревающего устройства |
| 1 | 2 | 3 | 4 | 5 |
Паспорт выработки для испытания штампом
Схема расположения выработки РАЗВЕРТКА ВЫРАБОТКИ
Чаши оттаивания
Результаты определения характеристик сжимаемости мерзлых грунтов при оттаивании их горячим штампом
| Глубина
кровли |
Наименование |
Давление | Глубина протаивания | Приращение осадки за ступень |
Относительная |
Коэффициенты | ||||
| Дата | испытанного слоя | грунта | номер ступени
t |
Величина Pi, кгс/см² | грунта под штампом
Hi, мм |
абсолютной ∆Si, мм | относительной ∆δi | осадка
δi |
оттаивания
А |
сжимаемости а, см²/кгс |
Определение физических свойств грунтов
|
Глубина, м |
Наименование грунта |
Влажность Wсум |
Объемный вес
грунта |
Объемный вес скелета грунта |
Удельный вес g0 |
Степень водонасыщенности |
Пористость |
Коэффициент пористости | ||||||
| М | Т | М | Т | М | Т |
М |
Т |
М | Т |
М |
Т |
|||
| % | гс/см3 | % | ||||||||||||
М — грунт в мерзлом состоянии до испытаний;
Т — грунт, оттаявший после испытаний.







