ГОСУДАРСТВЕННЫЙ СТАНДАРТ
СОЮЗА ССР
ГРУНТЫ
МЕТОДЫ ЛАБОРАТОРНОГО ОПРЕДЕЛЕНИЯ
ФИЗИЧЕСКИХ ХАРАКТЕРИСТИК
ГОСТ 5180-84
Издание официальное
ГОСУДАРСТВЕННЫЙ КОМИТЕТ СССР ПО ДЕЛАМ СТРОИТЕЛЬСТВА
РАЗРАБОТАН
Производственным и научно-исследовательским институтом по инженерным изысканиям в строительстве (ПНИИИС) Госстроя СССР
Научно-исследовательским институтом оснований и подземных сооружений (НИИОСП) им. Н. М. Герсеванова Госстроя СССР
Министерством монтажных и специальных строительных работ СССР
Министерством высшего и среднего специального образования СССР
ИСПОЛНИТЕЛИ
Р. С. Зиангиров, д-р геол.-минер. наук (руководитель темы); И. В. Шейкин, канд. техн. наук; Н. А. Панкратова; А. В. Васильев, канд. геол.-минер. наук; Л. Г. Мариупольский, канд. техн. Наук; А. А. Васильева, канд. геол.-минер. наук; А. А. Добровольский; Е. С. Маркова; Г. К. Бондарик, д-р геол.-минер. наук; В. В. Дмитриев, канд. геол.-минер. наук; С. В. Тимофеев, канд. техн. наук; О. Н. Сильницкая
ВНЕСЕН Производственным и научно-исследовательским институтом по инженерным изысканиям в строительстве (ПНИИИС) Гос¬строя СССР
Зам. директора В. В. Баулин
УТВЕРЖДЕН И ВВЕДЕН В ДЕЙСТВИЕ Постановлением Государственного комитета СССР по делам строительства от 24 октября 1984 г. № 177
Soils. Laboratory methods for determination of physical characteristics
Взамен ГОСТ 5180–75, ГОСТ 5181–78, ГОСТ 5182–78, ГОСТ 5183–77
Постановлением Государственного комитета СССР по делам строительства от 24 октября 1984 г. № 177 срок введения установлен
с 01.07.85
Настоящий стандарт распространяется на грунты без жестких структурных связей и устанавливает методы лабораторного определения их физических характеристик — влажности и плотности при исследованиях грунтов для строительства.
Стандарт не распространяется на крупнообломочные грунты.
Основные термины, применяемые в настоящем стандарте, и их пояснения приведены в справочном приложении 1.
1. ОБЩИЕ ПОЛОЖЕНИЯ
1.1. Отбор, упаковку, транспортирование и хранение образцов грунта ненарушенного сложения (монолитов) и нарушенного сложения следует производить в соответствии с ГОСТ 12071—84.
1.2. Подготовка к испытаниям и определение плотности мерзлых грунтов должны проводиться в помещении с отрицательной температурой воздуха, на не подвергавшихся оттаиванию образцах. Перед испытаниями образцы должны быть выдержаны при заданной отрицательной температуре не менее 6 ч.
1.3. Метод определения характеристики выбирается в зависимости от свойств грунта в соответствии с табл. 1.
1.4. Оборудование и материалы, необходимые для определения физических характеристик грунтов, приведены в обязательном приложении 2.
1.5. Физические характеристики следует определять не менее чем для двух параллельных проб, отбираемых из исследуемого образца грунта.
Таблица 1
| Определяемая
характеристика грунта |
Раздел настоящего стандарта | Метод
определения |
Грунты
(область применимости метода) |
|
|
Влажность, в том числе гигроскопическая
|
2 |
Высушивание до постоянной массы |
Все грунты |
|
|
Влажность |
Суммарная влажность
|
3 |
Средней пробой |
Мерзлые слоистой и сетчатой криогенной текстуры |
|
Влажность границы текучести
|
4 |
Пенетрация конусом |
Пылевато-глинистые |
|
|
Влажность границы |
5
|
Раскатывание в жгут |
То же |
|
| раскатывания
|
Приложение 12
|
Прессование |
То же |
|
|
6
|
Режущим кольцом |
Легко поддающиеся вырезке или не сохраняющие свою форму без кольца, сыпучемерзлые и с массивной криогенной текстурой
|
||
|
Плотность грунта |
7
|
Взвешивание в виде парафинированных образцов
|
Пылевато-глинистые немерзлые, склонные к крошению или трудно поддающиеся вырезке |
|
|
8
|
Взвешивание в нейтральной жидкости
|
Мерзлые |
||
| Плотность |
Плотность сухого грунта
|
9 |
Расчетный |
Все грунты |
|
10
|
Пикнометрический с водой |
Все грунты, кроме засоленных и набухающих |
||
|
Плотность частиц грунта |
11
|
То же, с нейтральной жидкостью |
Засоленные и набухающие |
|
|
Приложение 13
|
Метод двух пикнометров |
Засоленные |
||
1.6. Значение характеристик вычисляют как среднее арифметическое из результатов параллельных определений. Разница между параллельными определениями не должна превышать значений, указанных в обязательном приложении 3. Если разница превышает допустимую, количество определений следует увеличить.
1.7. При обработке результатов испытаний плотность вычисляют с точностью до 0,01 г/см3 влажность до 30 % — с точностью до 0,1%, влажность 30 % и выше — с точностью до 1 %.
1.8. Погрешность измерения массы (взвешивания) не должна превышать:
при массе от 10 до 1000 г ……. 0,02 г
» » от 1 до 5 кг ……. 5 г
1.9. Данные о месте отбора образцов грунтов и результаты определений их физических характеристик записывают в журналах, форма которых приведена в рекомендуемых приложениях 4—10.
2. ОПРЕДЕЛЕНИЕ ВЛАЖНОСТИ ГРУНТА МЕТОДОМ ВЫСУШИВАНИЯ ДО ПОСТОЯННОЙ МАССЫ
2.1. Влажность грунта следует определять как отношение массы воды, удаленной из грунта высушиванием до постоянной массы, к массе высушенного грунта.
2.2. Подготовка к испытаниям
2.2.1. Пробу грунта для определения влажности отбирают массой 15—50 г, помещают в заранее высушенный, взвешенный и пронумерованный стаканчик и плотно закрывают крышкой.
2.2.2. Пробы грунта для определения гигроскопической влажности грунта массой 10—20 г отбирают способом квартования из грунта в воздушно-сухом состоянии растертого, просеянного сквозь сито с сеткой № 1 и выдержанного открытым не менее 2 ч при данной температуре и влажности воздуха.
2.3. Проведение испытаний
2.3.1. Пробу грунта в закрытом стаканчике взвешивают.
2.3.2. Стаканчик открывают и вместе с крышкой помещают в нагретый сушильный шкаф. Грунт высушивают до постоянной массы при температуре (105 ± 2)°С. Загипсованные грунты высушивают при температуре (80 ± 2)°С.
2.3.3. Песчаные грунты высушивают в течение 3 ч, а остальные — в течение 5 ч.
Последующие высушивания песчаных грунтов производят в течение 1 ч, остальных — в течение 2 ч.
2.3.4. Загипсованные грунты высушивают в течение 8 ч. Последующие высушивания производят в течение 2 ч.
2.3.5. После каждого высушивания грунт в стаканчике охлаждают в эксикаторе с хлористым кальцием до температуры помещения и взвешивают.
Высушивание производят до получения разности масс грунта со стаканчиком при двух последующих взвешиваниях не более 0,02 г.
2.3.6. Если при повторном взвешивании грунта, содержащего органические вещества, наблюдается увеличение массы, то за результат взвешивания принимают наименьшую массу.
2.4. Обработка результатов
2.4.1. Влажность грунта w, %, вычисляют по формуле
где т — масса пустого стаканчика с крышкой, г;
m1 — масса влажного грунта. со стаканчиком и крышкой, г;
m0 — масса высушенного грунта со стаканчиком и крышкой, г.
Допускается выражать влажность грунта в долях единицы.
3. ОПРЕДЕЛЕНИЕ СУММАРНОЙ ВЛАЖНОСТИ МЕРЗЛОГО ГРУНТА
3.1. Подготовка к испытаниям
3.1.1. Образец мерзлого грунта со слоистой или сетчатой криогенной текстурой массой 1—3 кг (имеющий не менее трех ледяных и минеральных прослоек каждого направления) помещают в предварительно высушенную, взвешенную и пронумерованную тару. Допускается оттаивание образцов грунта в плотно завязанных полиэтиленовых пакетах во время транспортирования и хранения.
3.2. Проведение испытаний
3.2.1. Образец грунта в таре взвешивают, дают ему оттаять и доводят до однородного состояния, близкого к границе текучести для пылевато-глинистых грунтов, или полного водонасыщения для песчаных грунтов, перемешивая его металлическим шпателем и добавляя дистиллированную воду или осторожно сливая избыток воды после ее осветления.
3.2.2. Грунт в таре вновь взвешивают и отбирают из него пробы для определения влажности перемешанного грунта в соответствии с требованиями пп. 2.3 и 2.4.
3.3. Обработка результатов
3.3.1. Суммарную влажность wtot, %, мерзлого грунта вычисляют по формуле
где m2 — масса тары, г:
m3 — масса образца грунта (с тарой), г;
т4 — масса перемешанного грунта (с тарой), г;
w — влажность перемешанного грунта, %.
4. ОПРЕДЕЛЕНИЕ ГРАНИЦЫ ТЕКУЧЕСТИ
4.1. Границу текучести следует определять как влажность приготовленной из исследуемого грунта пасты, при которой балансирный конус погружается под действием собственного веса за 5 с на глубину 10 мм.
4.2. Подготовка к испытаниям
4.2.1. Для определения границы текучести используют монолиты или образцы нарушенного сложения, для которых требуется сохранение природной влажности.
Для грунтов, содержащих органические вещества, границу текучести определяют сразу после вскрытия образца.
Для грунтов, не содержащих органических веществ, допускается использование образцов грунтов в воздушно-сухом состоянии.
4.2.2. Образец грунта природной влажности разминают шпателем в фарфоровой чашке или нарезают ножом в виде тонкой стружки (с добавкой дистиллированной воды, если это требуется), удалив из него растительные остатки крупнее 1 мм, отбирают из размельченного грунта методом квартования пробу массой около 300 г и протирают сквозь сито с сеткой № 1.
Пробу выдерживают в закрытом стеклянном сосуде не менее 2 ч.
4.2.3. Образец грунта в воздушно-сухом состоянии растирают в фарфоровой ступке или в растирочной машине, не допуская дробления частиц грунта и одновременно удаляя из него растительные остатки крупнее 1 мм, просеивают сквозь сито с сеткой № 1, увлажняют дистиллированной водой до состояния густой пасты, перемешивая шпателем, и выдерживают в закрытом стеклянном сосуде согласно п. 4.2.2.
4.2.4. Для удаления избытка влаги из образцов илов производят обжатие грунтовой пасты, помещенной в хлопчатобумажную ткань между листами фильтровальной бумаги, под давлением (пресс, груз). Грунтовую пасту из илов не допускается выдерживать в закрытом стеклянном сосуде.
4.2.5. Добавлять сухой грунт в грунтовую пасту не допускается.
4.3. Проведение испытаний
4.3.1. Подготовленную грунтовую пасту тщательно перемешивают шпателем и небольшими порциями плотно (без воздушных полостей) укладывают в цилиндрическую чашку к балансирному конусу. Поверхность пасты заглаживают шпателем вровень с краями чашки.
4.3.2. Балансирный конус, смазанный тонким слоем вазелина, подводят к поверхности грунтовой пасты так, чтобы его острие касалось пасты. Затем плавно отпускают конус, позволяя ему погружаться в пасту под действием собственного веса.
4.3.3. Погружение конуса в пасту в течение 5 с на глубину 10 мм показывает, что грунт имеет влажность, соответствующую границе текучести.
4.3.4. При погружении конуса в течение 5 с на глубину менее 10 мм, грунтовую пасту извлекают из чашки, присоединяют к оставшейся. пасте, добавляют немного дистиллированной воды, тщательно перемешивают ее и повторяют операции, указанные в пп. 4.3.1—4.3.3.
4.3.5. При погружении конуса за 5 с на глубину более 10 мм грунтовую пасту из чашки перекладывают в фарфоровую чашку, слегка подсушивают на воздухе, непрерывно перемешивая шпателем и повторяют операции, указанные в пп. 4.3.1—4.3.3.
4.3.6. По достижении границы текучести (п. 4.3.3) из пасты отбирают пробы массой 15—20 г для определения влажности в соответствии с требованиями пп. 2.3 и 2.4.
5. ОПРЕДЕЛЕНИЕ ГРАНИЦЫ РАСКАТЫВАНИЯ
5.1. Границу раскатывания (пластичности) следует определять как влажность приготовленной из исследуемого грунта пасты, при которой паста, раскатываемая в жгут диаметром 3 мм, начинает распадаться на кусочки длиной 3—10 мм.
5.2. Подготовка к испытаниям
5.2.1. Подготовку грунта производят в соответствии с пп. 4.2.1— 4.2.5 или используют часть грунта (40—50 г), подготовленного для определения текучести.
5.3. Проведение испытаний
5.3.1. Подготовленную грунтовую пасту тщательно перемешивают, берут небольшой кусочек и раскатывают ладонью на стеклянной или пластмассовой пластинке до образования жгута диаметром 3 мм. Если при этой толщине жгут сохраняет связность и пластичность, его собирают в комок и вновь раскатывают до образования жгута диаметром 3 мм. Раскатывать следует, слегка нажимая на жгут, длина жгута не должна превышать ширины ладони. Раскатывание продолжают до тех пор, пока жгут не начинает распадаться по поперечным трещинам на кусочки длиной 3—10 мм.
5.3.2. Кусочки распадающегося жгута собирают в стаканчики, накрываемые крышками. Когда масса грунта в стаканчиках достигнет 10—15 г, определяют влажность в соответствии с требованиями пп. 2.3 и 2.4.
6. ОПРЕДЕЛЕНИЕ ПЛОТНОСТИ ГРУНТА МЕТОДОМ РЕЖУЩЕГО КОЛЬЦА
6.1. Плотность грунта определяется отношением массы образца грунта к его объему.
6.2. Подготовка к испытаниям
6.2.1. Согласно требованиям табл. 2 выбирают режущее кольцо-пробоотборник.
Таблица 2
| Размеры кольца-пробоотборника | ||||
| Наименование
и состояние грунтов |
Толщина стенки, мм | Диаметр внутренний d, мм |
Высота h |
Угол заточки наружного режущего края |
| Немерзлые пылевато-глинистые грунты | 1,5–2,0 | ³ 50 | 0,8 d ³ h > 0,3 d | Не более 30° |
| Немерзлые и сыпуче-мерзлые песчаные грунты | 2,0–4,0 | ³ 70 | d ³ h > 0,3 d | То же |
| Мерзлые пылевато-глинистые грунты | 3,0–4,0 | ³ 80 | h = d | 45° |
6.2.2. Кольца-пробоотборники изготавливают из стали с антикоррозионным покрытием или из других материалов, не уступающих по твердости и коррозионной стойкости.
6.2.3. Кольца нумеруют, измеряют внутренний диаметр и высоту с погрешностью не более 0,1 мм и взвешивают. По результатам измерений вычисляют объем кольца с точностью до 0,1 см³.
6.2.4. Пластинки с гладкой поверхностью (из стекла, металла и т. д.) нумеруют и взвешивают.
6.3. Проведение испытаний
6.3.1. Кольцо-пробоотборник смазывают с внутренней стороны тонким слоем вазелина или консистентной смазки.
6.3.2. Верхнюю зачищенную плоскость образца грунта выравнивают, срезая излишки грунта ножом, устанавливают на ней режущий край кольца и винтовым прессом или вручную через насадку слегка вдавливают кольцо в грунт, фиксируя границу образца для испытаний. Затем грунт снаружи кольца обрезают на глубину 5—10 мм ниже режущего края кольца, формируя столбик диаметром на 1—2 мм больше наружного диаметра кольца. Периодически, по мере срезания грунта, легким нажимом пресса или насадки насаживают кольцо на столбик грунта, не допуская перекосов. После заполнения кольца грунт подрезают на 8—10 мм ниже режущего края кольца и отделяют его.
Грунт, выступающий за края кольца, срезают ножом, зачищают поверхность грунта вровень с краями кольца и закрывают торцы пластинками.
При пластичном или сыпучем грунте кольцо плавно, без перекосов вдавливают в него и удаляют грунт вокруг кольца. Затем зачищают поверхность грунта, накрывают кольцо пластинкой и подхватывают его снизу плоской лопаткой.
6.3.3. Кольцо с грунтом и пластинками взвешивают.
6.4. Обработка результатов
6.4.1. Плотность грунта ρ, г/см³, вычисляют по формуле
где m1 — масса грунта с кольцом и пластинками, г;
т0 — масса кольца, г;
m2 — масса пластинок, г;
V — внутренний объем кольца, см³.
7. ОПРЕДЕЛЕНИЕ ПЛОТНОСТИ ГРУНТА МЕТОДОМ ВЗВЕШИВАНИЯ В ВОДЕ
7.1. Подготовка к испытаниям
7.1.1. Вырезают образец грунта объемом не менее 50 см³ и придают ему округлую форму, срезая острые выступающие части.
7.1.2. Образец обвязывают тонкой прочной нитью со свободным концом длиной 15—20 см, имеющим петлю для подвешивания к серьге весов.
7.1.3. Парафин, нс содержащий примесей, нагревают до температуры 57—60°С.
7.2. Проведение испытаний
7.2.1. Обвязанный нитью образец грунта взвешивают.
7.2.2. Образец грунта покрывают парафиновой оболочкой, погружая его на 2—3 с в нагретый парафин. При этом пузырьки воздуха, обнаруженные в застывшей парафиновой оболочке, удаляют, прокалывай их и заглаживая места проколов нагретой иглой. Эту операцию повторяют до образования плотной парафиновой оболочки.
7.2.3. Охлажденный парафинированный образец взвешивают.
7.2.4. Затем парафинированный образец взвешивают в сосуде с водой. Для этого над чашей весов устанавливают подставку для сосуда с водой так, чтобы исключить ее касание к чаше весов (или снимают подвес с чашей с серьги, уравновесив весы дополнительным грузом). К серьге коромысла подвешивают образец и опускают в сосуд с водой. Объем сосуда и длина нити должны обеспечить полное погружение образца в воду. При этом образец не должен касаться дна и стенок сосуда.
Примечание. Допускается применять метод обратного взвешивания на чашу циферблатных весов устанавливают сосуд с водой и взвешивают его. Затем в жидкость догружают образец, подвешенный к штативу, и вновь взвешивают сосуд с водой и погруженным в нее образцом.
7.2.5. Взвешенный образец вынимают из воды, промокают фильтровальной бумагой и взвешивают для проверки герметичности оболочки. Если масса образца увеличилась более чем на 0,02 г по сравнению с первоначальной, образец следует забраковать и повторить испытание с другим образцом.
7.3. Обработка результатов
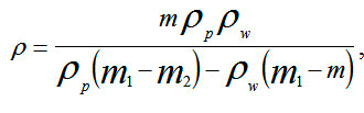
7.3.1. Плотность грунта ρ, г/см³ вычисляют по формуле
где т — масса образца грунта до парафинирования, г;
m1 — масса парафинированного образца грунта, г;
m2 — результат взвешивания образца в воде— разность масс парафинированного образца и вытесненной им воды, г;
rp — плотность парафина, принимаемая равной 0,900 г/см³;
rw — плотность воды при температуре испытаний, г/см³.
Примечание. Плотность парафина следует уточнять для каждой партии парафина. Плотность воды, в зависимости от температуры, следует принимать по справочному приложению 11.
7.3.2. При применении метода обратного взвешивания плотность грунта вычисляют по формуле
где m, rp, rw — то же, что и в формуле (4);
m3 — масса сосуда с водой, г;
m4 — масса сосуда с водой и погруженным в нее парафинированным образцом, г.
8. ОПРЕДЕЛЕНИЕ ПЛОТНОСТИ МЕРЗЛОГО ГРУНТА МЕТОДОМ ВЗВЕШИВАНИЯ В НЕЙТРАЛЬНОЙ ЖИДКОСТИ
8.1. Подготовка к испытаниям
8.1.1. Образец грунта и нейтральная жидкость (керосин, лигроин и др.) должны иметь отрицательную температуру.
8.1.2. Образец грунта отбирают округлой формы массой 100— 150 г и обвязывают нитью (п. 7.1.2). Для грунтов с сетчатой или слоистой криогенной структурой масса образца может быть увеличена.
8.1.3. Определяют плотность нейтральной жидкости ареометром при температуре испытания.
8.2. Проведение испытаний
8.2.1. Обвязанный нитью образец грунта взвешивают.
8.2.2. Затем образец взвешивают, погрузив его в нейтральную жидкость. Взвешивание производят в соответствии с указаниями п. 7.2.4.
8.3. Обработка результатов
8.3.1. Плотность грунта ρ г/см³ вычисляют по формуле
где т — масса образца (до погружения), г;
m1 — результат взвешивания образца в нейтральной жидкости—разность масс образца и вытесненной им жидкости, г;
rnl — плотность нейтральной жидкости при температуре испытаний, г/см³.
Примечание. При применении метода обратного взвешивания плотность грунта вычисляют по формуле
где т и rnl — то же, что и в формуле (6);
m3 — масса сосуда с нейтральной жидкостью, г,
т4 — масса сосуда с нейтральной жидкостью и погруженным в нее образцом, г.
9. ОПРЕДЕЛЕНИЕ ПЛОТНОСТИ СУХОГО ГРУНТА РАСЧЕТНЫМ МЕТОДОМ
9.1. Для определения плотности сухого грунта предварительно определяют влажность грунта и его плотность при этой влажности в соответствии с требованиями разд. 2, 3 и 6—8 настоящего стандарта.
9.2. Плотность сухого грунта ρd, г/см³, вычисляют по формуле
где r —плотность грунта, г/см³;
w —влажность грунта, %.
10. ОПРЕДЕЛЕНИЕ ПЛОТНОСТИ ЧАСТИЦ ГРУНТА ПИКНОМЕТРИЧЕСКИМ МЕТОДОМ
10.1. Плотность частиц грунта определяется отношением массы частиц грунта к их объему.
10.2. Подготовка к испытаниям
10.2.1. Образец грунта в воздушно-сухом состоянии размельчают в фарфоровой ступке, отбирают методом квартования среднюю пробу массой 100—200 г и просеивают сквозь сито с сеткой № 2, остаток на сите растирают в ступке и просеивают сквозь то же сито.
10.2.2. Из перемешанной средней пробы берут навеску грунта из расчета 15 г на каждые 100 мл емкости пикнометра и высушивают до постоянной массы в соответствии с требованиями п. 2.2 и 2.3. Навеску заторфованного грунта или торфа следует отбирать из средней пробы из расчета 5 г сухого грунта на каждые 100 мл емкости пикнометра, которая в этом случае должна быть не менее 200 мл.
Допускается использовать грунт в воздушно-сухом состоянии, определив его гигроскопическую влажность.
10.2.3. Дистиллированную воду следует прокипятить в течение 1 ч и хранить в закупоренной бутыли.
10.3. Проведение испытаний
10.3.1. Пикнометр, наполненный на 1/3 дистиллированной водой, взвешивают. Затем через воронку всыпают в него высушенную пробу грунта и снова взвешивают.
10.3.2. Пикнометр с водой и грунтом взбалтывают и ставят кипятить на песчаную баню. Продолжительность спокойного кипячения (с момента начала кипения) должна составлять: для песков и супесей — 0,5 ч, для суглинков и глин — 1 ч.
10.3.3. После кипячения пикнометр следует охладить и долить дистиллированной водой до мерной риски на горлышке, а если пикнометр с капилляром в пробке — до шейки пикнометра.
Пикнометр охлаждают до комнатной температуры в ванне с водой. Температуру пикнометра определяют по температуре воды в ванне, измеряемой с точностью до ± 0,5°С термометром, расположенным в средней части ванны между пикнометрами.
10.3.4. После охлаждения пикнометра следует поправить положение мениска воды в нем, добавляя из капельницы дистиллированную воду. В пикнометре с мерной риской низ мениска должен совпадать с ней. Возможные капли воды выше риски удаляют фильтровальной бумагой. Пикнометр с капилляром доливают примерно до середины шейки пикнометра, закрывают пробку и удаляют выступившую из капилляра воду фильтровальной бумагой. Проверяют отсутствие пузырьков воздуха под пробкой и при их наличии вновь доливают воду.
Пикнометр вытирают снаружи и взвешивают.
10.3.5. Далее выливают содержимое пикнометра, ополаскивают его, наливают в него дистиллированную воду и выдерживают в ванне с водой при той же температуре. Затем выполняют операции, указанные в п. 10.3.4, и взвешивают пикнометр с водой.
Примечание. При большом количестве испытаний следует заранее определить объемы пикнометров (до мерной риски) и их массы с водой при различных температурах, находящихся в интервале температур испытаний. Объем пикнометра Vп, см³, вычисляют по формуле
где m2’ — масса пикнометра с дистиллированной водой (или нейтральной жидкостью — см. разд. 11) при температуре тарировки, г;
mп — масса пустого пикнометра, г;
rw’ — плотность воды (или нейтральной жидкости) при той же температуре, г/см³.
Массу пикнометра с дистиллированной водой или нейтральной жидкостью m2, г, при температуре испытаний вычисляют по формуле
где rw ¾ плотность воды (или нейтральной жидкости) при температуре испытаний.
10.4. Обработка результатов
Плотность частиц грунта rs, г/см³, вычисляют по формуле
где m0 — масса сухого грунта, г;
m1 —масса пикнометра с водой и грунтом после кипячения при температуре испытания, г;
m2 — масса пикнометра с водой при той же температуре, г;
rw — плотность воды при той же температуре, г/см³.
Примечание. Массу сухого грунта то определяют как разность результатов двух взвешиваний, выполненных по указаниям п. 10.3.1.
В случае использования грунта в воздушно-сухом состоянии т0 вычисляют по формуле
где т — масса пробы воздушно-сухого грунта, г;
wg — гигроскопическая влажность грунта, %.
11. ОПРЕДЕЛЕНИЕ ПЛОТНОСТИ ЧАСТИЦ ГРУНТА ПИКНОМЕТРИЧЕСКИМ МЕТОДОМ С НЕЙТРАЛЬНОЙ ЖИДКОСТЬЮ
11.1. Подготовка к испытаниям
11.1.1. Подготовку пробы грунта производят в соответствии с указаниями пп. 10.2.1 и 10.2.2.
11.1.2. Нейтральная жидкость (например, керосин) должна быть обезвожена и профильтрована. Керосин обезвоживают путем взбалтывания его с силикагелем по ГОСТ 3956—76, прокаленным в муфельной печи при температуре 500 °С в течение 4 ч. Силикагель берут из расчета 250 г на 1 л керосина.
Плотность керосина после обезвоживания и очистки должна быть установлена с помощью ареометра.
11.2. Испытания проводят в соответствии с указаниями пп. 10.3.1—10.3.4, применяя обезвоженный керосин вместо дистиллированной воды и вакуумирование вместо кипячения: степень разряжения при вакуумировании следует определять по началу выделения пузырьков воздуха; вакуумирование следует продолжать до прекращения выделения пузырьков, но не менее 1 ч. При всех взвешиваниях температура керосина должна быть постоянной, в пределах ± 1°С.
11.3. Обработка результатов
Плотность частиц засоленного или набухающего грунта ρs, г/см³, вычисляют по формуле
где т0 — масса сухого грунта, г;
т1 — масса пикнометра с керосином и грунтом, г;
т2 — масса пикнометра с керосином, г;
rnl — плотность керосина при температуре испытания, г/см³.
ПРИЛОЖЕНИЕ 1
Справочное
ТЕРМИНЫ И ИХ ПОЯСНЕНИЯ
Влажность грунта w — отношение массы воды в объеме грунта к массе этого грунта, высушенного до постоянной массы.
Гигроскопическая влажность wg — влажность грунта в воздушно-сухом состоянии, т. е. в состоянии равновесия с влажностью и температурой окружающего воздуха.
Граница текучести wL — влажность грунта, при которой грунт находится на границе пластичного и текучего состояний.
Граница раскатывания (пластичности) wp — влажность грунта, при которой грунт находится на границе твердого и пластичного состояний.
Плотность грунта ρ — масса единицы объему грунта.
Плотность сухого грунта ρ d — отношение массы грунта за вычетом массы воды и льда в его порах к его первоначальному объему.
Плотность частиц грунта ρ s — масса единицы объема твердых (скелетных) частиц грунта.
ПРИЛОЖЕНИЕ 2
Обязательное
Оборудование и материалы, необходимые для определения физических характеристик грунтов
| Номер раздела стандарта | ||||||||||||
| № п/п | Оборудование
и материалы |
Влажность |
Плотность |
Приложение 12 | Приложение 13 | |||||||
| 2 | 3 | 4 | 5 | 6 | 7 | 8 | 10 | 11 | ||||
| 1 | Шкаф сушильный или вакуумный сушильный | + | + | + | + | + | + | + | + | |||
| 2 | Термометр по ГОСТ 2823–73Е со шкалой от 0 до 200°С, с ценой деления 2°С | + | + | + | + | + | + | + | + | |||
| 3 | Эксикатор по ГОСТ 23932–79Е с кальцием хлористым по ГОСТ 4460–77, прокаленным в муфельной печи | + | + | + | + | + | + | + | + | |||
| 4 | Стаканчики стеклянные по ГОСТ 23932–79Е или алюминиевые ВС-1 с крышками | + | + | + | + | + | + | + | + | |||
| 5 | Шпатели металлические | + | + | + | + | + | + | + | + | |||
| 6 | Нож с прямым лезвием | + | + | + | + | + | + | + | + | |||
| 7 | Щипцы тигельные | + | + | + | + | + | + | + | + | |||
| 8 | Весы лабораторные по ГОСТ 24104–80Е с гирями по ГОСТ 7328–82Е | + | + | + | + | + | + | + | + | + | + | + |
| 9 | Весы настольные циферблатные по ГОСТ 24104–80Е с гирями по ГОСТ 7328–82Е | + | ||||||||||
| 10 | Ступка фарфоровая и пестик по ГОСТ 9147–80Е | + | + | + | + | + | + | + | ||||
| 11 | Набор сит по ГОСТ 3584–73 | + | + | + | + | + | + | + | ||||
| 12 | Чашка фарфоровая по ГОСТ 9147–80Е или таз пластмассовый, эмалированный | + | + | + | + | |||||||
| 13 | Кольца-пробоотборники (см. п. 3.1.2) | + | ||||||||||
| 14 | Лопатка плоская | + | + | + | + | + | + | + | + | |||
| 15 | Штангенциркуль по ГОСТ 166–80 | + | ||||||||||
| 16 | Пресс винтовой | + | ||||||||||
| 17 | Насадка для вдавливания колец | + | ||||||||||
| 18 | Пластинки гладкие (стекло, металл и т. д.) | + | + | |||||||||
| 19 | Вазелин технический | + | + | |||||||||
| 20 | Консистентная смазка (тавот и т. п.) | + | + | |||||||||
| 21 | Стаканы лабораторные 0,5 и 1 л | + | + | |||||||||
| 22 | Подставки разные | + | + | + | ||||||||
| 23 | Термометр по ГОСТ 2823–73Е со шкалой от 0 до 50°С, с ценой деления 0,5°С | + | + | + | + | + | ||||||
| 24 | Парафин | + | ||||||||||
| 25 | Игла, нить, леска | + | ||||||||||
| 26 | Бумага фильтровальная | + | + | + | + | + | ||||||
| 27 | Набор ареометров по ГОСТ 18481–81Е с ценой деления 0,001 г/см³, от 15 до 35°С | + | + | |||||||||
| 28 | Нейтральная жидкость (керосин, лигроин и т. д.) | + | + | |||||||||
| 29 | Пикнометры по ГОСТ 22524–77Е | + | + | + | ||||||||
| 30 | Баня песчаная | + | ||||||||||
| 31 | Ванна с водой | + | + | + | ||||||||
| 32 | Пипетка или капельница | + | + | + | ||||||||
| 33 | Вакуумный шкаф со стеклянной дверкой или насос с вакуумной тарелкой и колпаком | + | ||||||||||
| 34 | Балансирный конус* | + | ||||||||||
| 35 | Секундомер СМ-60 | + | + | |||||||||
| 36 | Вода дистиллированная | + | + | + | + | + | + | + | ||||
| 37 | Воронка стеклянная | + | + | + | ||||||||
| 38 | Сосуд стеклянный (банка) с крышкой | + | + | |||||||||
| 39 | Ткань хлопчатобумажная | + | + | |||||||||
| 40 | Пресс рычажный или гидравлический до 3 т | + | ||||||||||
* Балансирный конус представляет собой металлический пенетрационный конус (угол при вершине 30°) с двумя противовесами, жестко закрепленными на нем так, что центр тяжести устройства в рабочем положении опущен ниже вершины конуса для устойчивости при измерениях. Конус имеет кольцевую риску в 10 мм от вершины и общую массу (76±0,2) г. Комплектуется чашкой для грунтовой пасты и подставкой.
ПРИЛОЖЕНИЕ 3
Обязательное
Допустимая разница ∆ результатов параллельных определений
| Влажность грунта w, % | |||||
| 1 ¾ 5 | >5 ¾ 10 | > 10 ¾ 50 | > 50 ¾ 100 | > 100 | |
| ∆, % | 0,2 | 0,6 | 2,0 | 4,0 | 5,0 |
| Влажность грунта
на границе текучести wL, % |
|||||
| до 80 | 80 и более | ||||
| ∆, % | 2,0 | 4,0 | |||
| Влажность грунта
на границе раскатывания wp, % |
|||||
| до 40 | 40 и более | ||||
| ∆, % | 2,0 | 4,0 | |||
| Плотность грунта ρ, г/см³ | |||||
| Песчаные грунты | Пылевато-глинистые грунты | ||||
| ∆, г/см³ | 0,04 | 0,03 | |||
| Плотность частиц грунта ρs, г/см³ | |||||
| До 2,75 | 2,75 и более | ||||
| ∆, г/см³ | 0,02 | 0,03 | |||
ПРИЛОЖЕНИЕ 4
Рекомендуемое
ЖУРНАЛ
определения влажности грунта
|
№№ п/п |
Дата |
Лабораторный номер образца |
Номер выработки |
Глуби-на отбора образца |
Номер стаканчика |
Масса стаканчика с крыш- |
Масса влажного грунта со ста- | Масса высушенного грунта со стаканчиком и крышкой m0, г |
Влажность w, % |
||
| грунта, м | кой
m, г |
канчиком и крышкой
m0, г |
1-е взвешивание | 2-е взвешивание | отдельной пробы |
средняя |
|||||
| 1 | 2 | 3 | 4 | 5 | 6 | 7 | 8 | 9 | 10 | 11 | 12 |
ПРИЛОЖЕНИЕ 5
Рекомендуемое
ЖУРНАЛ
определения суммарной влажности мерзлого грунта методом средней пробы
|
№№ |
Дата |
Лабораторный номер |
Номер выработки |
Глубина отбора образца |
Номер тары |
Масса тары m2, г |
Масса образца грунта | Масса перемешанного |
Номер стаканчика |
Масса стаканчика
с крышкой |
Масса влажного грунта со | Масса высушенного грунта со стаканчиком и крышкой m0, г | Влажность перемешанного грунта
w, % |
Влажность грунта |
||
| п/п | образца | грунта, м | с массой тары
m3, г |
грунта и тары
m4, г |
m, г | стаканчиком и крышкой
m1, г |
1-е взвешивание | 2-е взвешивание | отдельной пробы | средняя | wtot, % | |||||
| 1 | 2 | 3 | 4 | 5 | 6 | 7 | 8 | 9 | 10 | 11 | 12 | 13 | 14 | 15 | 16 | 17 |
ПРИЛОЖЕНИЕ 6
Рекомендуемое
ЖУРНАЛ
определения границ текучести и раскатывания пылевато-глинистых грунтов
| Граница текучести | Граница раскатывания | ||||||||||||||||||||
| №№ п/п | Дата | Лабораторный номер образца | Номер выработки | Глубина отбора образца грунта, м | Номер стаканчика | Масса стаканчика с крышкой m, г | Масса влажного грунта со | Масса высушенного грунта со стаканчиком и крышкой m0, г | Граница текучести
wL, % |
Номер стаканчика |
Масса стаканчика
с крышкой |
Масса влажного грунта со | Масса высушенного грунта со стаканчиком и крышкой
m0, г |
Граница раскатывания
wp, % |
Число пластичности Ip, % | Примечания | |||||
| стаканчиком и крышкой m1, г | 1-е взвешивание | 2-е взвешивание | отдельной пробы | средняя | m, г | стаканчиком
и крышкой m1, г |
1-е взвешивание | 2-е взвешивание | отдельной пробы | средняя | Ih=wL—wp | ||||||||||
| 1 | 2 | 3 | 4 | 5 | 6 | 7 | 8 | 9 | 10 | 11 | 12 | 13 | 14 | 15 | 16 | 17 | 18 | 19 | 20 | 21 | |
ПРИЛОЖЕНИЕ 7
Рекомендуемое
ЖУРНАЛ
определения плотности грунта методом режущего кольца
|
№№ |
Дата |
Лабораторный номер |
Номер |
Глубина отбора |
Номер |
Номер пластинок | Масса кольца с грунтом и |
Масса кольца |
Масса пластинок, г |
Масса |
Объем грунта |
Плотность грунта ρ, г/см³ | |||
| п/п
|
образца | выработки | образца грунта, м | кольца | верхней | нижней | пластинками
m1, г |
m0, г | верхней | нижней | грунта, г | V, см³ | образца | средняя | |
| 1 | 2 | 3 | 4 | 5 | 6 | 7 | 8 | 9 | 10 | 11 | 12 | 13 | 14 | 15 | 16 |
ПРИЛОЖЕНИЕ 8
Рекомендуемое
ЖУРНАЛ
определения плотности грунта методом взвешивания в воде парафинированных образцов
| Лабораторный | Глубина | Масса, г | Плотность, ρ, г/см³ | |||||||
| №№
п/п |
Дата | номер образца грунта | Номер выработки | отбора образца грунта, м | грунта до парафинирования | парафинированного грунта | парафинированного грунта в воде | контрольное взвешивание парафинирован-ного грунта |
образца |
средняя |
| 1 | 2 | 3 | 4 | 5 | 6 | 7 | 8 | 9 | 10 | 11 |
ПРИЛОЖЕНИЕ 9
Рекомендуемое
ЖУРНАЛ
определения плотности грунта методом взвешивания образца в нейтральной жидкости
|
№№ |
Дата |
Лабораторный номер |
Номер |
Глубина
отбора |
Масса, г |
Температура |
Плотность
нейтральной |
Плотность ρ, г/см³
|
||
| п/п | образца | выработки | образца грунта, м | образца
в воздухе |
образца
в нейтральной жидкости |
жидкости, °С | жидкости ρnl, г/см³ | образца
|
средняя | |
| 1 | 2 | 3 | 4 | 5 | 6 | 7 | 8 | 9 | 10 | 11 |
ПРИЛОЖЕНИЕ 10
Рекомендуемое
ЖУРНАЛ
определения плотности частиц грунта пикнометрическим методом
|
№№ |
Дата |
Лабораторный номер |
Номер |
Глубина отбора |
Номер |
Масса, г |
Температура |
Плотность частиц грунта
ρs, г/см³ |
|||||
| п/п | образца | выработки | образца, м | пикнометра | пикнометра, заполненного водой (керосином) на 1/3 его емкости | пикнометра, заполненного водой (керосином) на 1/3 его емкости и грунтом | пикнометра с водой (керосином) и грунтом | пикнометра с водой (керосином) | сухого
грунта |
воды, (керосина), °С | образца
|
средняя | |
| 1 | 2 | 3 | 4 | 5 | 6 | 7 | 8 | 9 | 10 | 11 | 12 | 13 | 14 |
ПРИЛОЖЕНИЕ 11
Справочное
Плотность воды при различных температурах
| Температура, °С | Плотность, г/см³ | Температура, °С | Плотность, г/см³ |
| 0 ¾ 12 | 1,000 | 24 ¾ 27 | 0,997 |
| 12 ¾ 18 | 0,999 | 29 ¾ 30 | 0,996 |
| 19 ¾ 23 | 0,998 | 31 ¾ 33 | 0,995 |
ПРИЛОЖЕНИЕ 12
Рекомендуемое
ОПРЕДЕЛЕНИЕ ГРАНИЦЫ РАСКАТЫВАНИЯ (ПЛАСТИЧНОСТИ) МЕТОДОМ ПРЕССОВАНИЯ
1. Границу раскатывания допускается определять как влажность грунтовой пасты, устанавливающуюся после прессования ее в контакте с целлюлозой (фильтровальной бумагой) под давлением 2 МПа (20 кгс/см²) до завершения водоотдачи грунта.
2. Проведение испытаний
2.1. Шаблон толщиной 2 мм с отверстием 5 см укладывают на хлопчатобумажную ткань и заполняют грунтовой пастой, подготовленной по пп. 4.2.1— 4.2.5 настоящего стандарта. Избыток пасты срезают ножом вровень с поверхностью шаблона. Шаблон удаляют, а полученный образец покрывают сверху такой же тканью.
2.2. Снизу и сверху подготовленного образца укладывают по 20 листов фильтровальной бумаги размером 9х9 см. Подготовленный образец помещают между деревянными или металлическими пластинками и создают с помощью пресса давление на образец 2 МПа (20 кгс/см²) в течение 10 мин.
2.3. Затем проводят контроль завершения водоотдачи грунта. Для этого снимают давление пресса, вынимают образец и, удалив фильтровальную бумагу и ткань, сгибают образец пополам.
Границу раскатывания считают достигнутой, если образец на сгибе дает трещину.
2.4. При отсутствии трещины определение повторяют на новой порции пасты, увеличив длительность прессования на 10 мин по сравнению с длительностью предыдущего испытания. Повторные прессования повторяют до тех пор, пока не будет достигнута граница раскатывания грунта в соответствии с п. 2.3 настоящего приложения.
2.5. По достижении границы раскатывания сразу определяют влажность образца в соответствии с указаниями пп. 2.2 и 2.3 настоящего стандарта.
2.6. Для контроля применимости метода для грунтов, поступающих в лабораторию, не менее 20% общего числа образцов из каждого инженерно-геологического элемента следует испытывать параллельно методом раскатывания согласно указаниям разд. 5 настоящего стандарта. Метод прессования допускается применять только при получении сопоставимых результатов контрольных определений.
ПРИЛОЖЕНИЕ 13
Рекомендуемое
ОПРЕДЕЛЕНИЕ ПЛОТНОСТИ ЧАСТИЦ ЗАСОЛЕННЫХ ГРУНТОВ В ВОДЕ
1. Подготовку образцов грунта к испытаниям следует проводить в соответствии с указаниями пп. 10.2.1 и 10.2.2 настоящего стандарта.
2. Проведение испытаний
2.1. Выполняют операции, указанные в пп. 10.3.1—10.3.3 настоящего стандарта.
2.2. С помощью резиновой груши следуют осторожно отсасывать осветленную жидкость из верхней части пикнометра в малый пикнометр, объем которого не должен превышать 60—80% объема основного пикнометра. Положение мениска в малом пикнометре устанавливают согласно п. 10.3.4 настоящего стандарта, добавляя в него по каплям осветленный солевой раствор из большого пикнометра, при этом не допуская взмучивания осадка в большом пикнометре.
Малый пикнометр с жидкостью следует вытереть насухо и взвесить.
2.3. Солевой раствор из малого пикнометра и суспензию из большого пикнометра выливают, прополаскивают их дистиллированной водой, наливают дистиллированную воду и выдерживают в ванне с водой.
2.4. Далее выполняют операции, указанные в п. 10.3.4 настоящего стандарта, и взвешивают пикнометры с водой.
3. Обработка результатов
3.1. Плотность частиц засоленного грунта ρsz, г/см³ вычисляют по формуле
где М0 — масса грунта в пикнометре, г;
M1 — масса большого пикнометра (пустого), г;
М² — масса большого пикнометра с водой и грунтом, г;
М³ — масса большого пикнометра с водой, г;
m1 — масса малого пикнометра (пустого), г;
т3 —масса малого пикнометра с водой, г;
m4 — масса малого пикнометра с солевым раствором, г;
rz — плотность растворимых солей (допускается принимать ρz = 2,20 г/см³);
rw — плотность воды при температуре испытания, г/см³.












