БСТ №7,1978г.
Постановлением Госстроя СССР от 19 апреля 1978 г. № 60 утверждены и с 1 июля 1978 г. введены в действие приведенные ниже изменения и дополнения главы СНиП III-18-75 «Металлические конструкции», утвержденной постановлением Госстроя СССР от 20 октябри 1975 г. №181.
Пункт 1.9. Исключить слова: «и защищена от коррозии грунтовкой, позволяющей производить сварку»
Пункт 1.17 изложить в следующей редакции:
«Кромки деталей из низколегированной стали классов до С60/45 включительно и термически улучшенной углеродистой стали, но подлежащие сварке или не полностью проплавляемые при сварке, после ручной кислородной резки и кромки деталей из стали всех классов — после воздушно-дуговой резки подлежат механической обработке (строжке, фрезерованию, обработке абразивным инструментом).
Механическая обработка производится на глубину, обеспечивающую удаление дефектов поверхности, при этом после воздушно-дуговой резки — не менее 2 мм поверхности кромок не должны иметь надрывов и трещин. При обработке абразивным инструментом следы зачистки должны быть направлены вдоль кромок. Кромки деталей из углеродистой стали класса С38/23 после ручной кислородной резки должны быть очищены и не иметь шероховатостей, превышающих 1 мм, а для конструкций, возводимых или эксплуатируемых в районах с расчетной температурой ниже минус 400 С и до минус 65° С включительно, — 0,5 мм.
Шероховатость поверхности приторцовываемых кромок деталей, независимо от способов обработки, должна быть не грубее первого класса чистоты поверхности по ГОСТ 2789-73, при этом неплоскостность поверхности не должна превышать 0,3 мм».
Пункт 1.19. Абзац первый изложить в следующей редакции:
«Кромки работающих на растяжение деталей из низколегированной стали классов до С60/45 включительно .всех толщин и из углеродистой стали толщиной свыше 10 мм, фасонок ферм из низколегированной стали классов до С60/45 включительно, всех расчетных деталей в конструкциях, воспринимающих динамические нагрузки, либо возводимых или эксплуатируемых в районах с расчетной температурой ниже минус 40° С и до минус 65° С включительно, после резки на ножницах подлежат механической обработке в соответствии с указаниями пп. 1.17 и 1.86 настоящей главы».
Пункт 1.21. Абзац второй изложить в следующей редакции:
«Скосы по толщине на концах растянутых деталей (при сопряжении деталей разной толщины) в конструкциях, воспринимающих динамическую нагрузку, должны выполняться машинной кислородной резкой или механической обработкой и не должны иметь ступенек. Неровности и риски в детали должны быть сглажены, обработкой абразивным инструментом вдоль усилия».
Пункт 1.22 изложить в следующей редакции:
На заготавливаемые детали расчетных элементов конструкций, оговоренных в чертежах КМ и КМД или дополнительных правилах настоящей главы, переносятся клеймением номера плавок. Клеймение номера плавки на деталях сварных элементов должно производиться не ближе 100 мм от мест наложения сварных швов при изготовлении и монтаже».
Пункт 1.30. Подпункт «б» изложить в следующей редакции:
«б) ударная вязкость на образцах типа VI по ГОСТ 6996 — 66 при отрицательной температуре, указанной в чертежах КМ, для стыковых соединений — не ниже 3 кгс•м/см2, за исключением соединений, выполненных электрошлаковой сваркой».
Пункт 1.30 дополнить подпунктом следующего содержания:
«г) угол статического изгиба на образцах типа XXVII или XXVIII по ГОСТ 6996 — 66 (при диаметре оправки согласно ГОСТ на основной металл) — не менее:
120° — для углеродистых сталей;
80° — для низколегированных сталей толщиной 20 мм и менее;
60° — для низколегированных сталей толщиной более 20 мм».
Пункт 1.30. Примечание 1 изложить в следующей редакции:
«1. При сварке элементов из низколегированной стали для угловых швов с размерами катетов 4 — 7 мм допускается твердость металла шва и околошовной зоны до 400 единиц по алмазной пирамиде».
Пункт 1.30 дополнить примечаниями следующего содержания:
«3. У одного из образцов с надрезом по линии сплавления стыкового соединения допускается снижение ударной вязкости не более чем не 0,5 кгс•м/см2 по отношению к норме для основного металла».
«4. При необходимости применения для определения ударной вязкости образцов других типов (VII — XI по ГОСТ 6996-66) нормы ударной вязкости устанавливаются в чертежах КМ».
Пункт 1.31 изложить в следующей редакции:
«Сварочные работы должны осуществляться под руководством лица, имеющего документ о специальном образовании или подготовке в области сварки».
Пункт 1.90. Абзац первый изложить в следующей редакции:
«Строповка, внутризаводское транспортирование и погрузке готовых элементов на транспортные средства должны выполняться приемами и приспособлениями, исключающими образование остаточных деформаций
Пункт 2.4. В первой строке первого абзаца после слова «производить» добавить: «контрольную или…».
Пункт 6.3 изложить в следующей редакции:
«Стенки отверстий для труб во фланцах и соприкасающиеся плоскости фланцев должны быть механически обработаны (резанием).
Механическую обработку сопрягаемых плоскостей фланцев разрешается не производить при условии, если листовая сталь, из которой изготовляются фланцы, выправлена и имеет неплоскостность не более 1 мм.
Отверстия во фланцах для труб допускается обрабатывать машинной кислородной резкой. Зазор между трубой и стенкой отверстия во фланцах должен быть не более 3 мм при условии совмещения центра фланца с осью трубы».
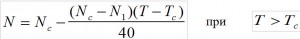
Пункт 6.17 изложить в следующей редакции:
«Усилие монтажного натяжения в оттяжках мачтовых опор должно определяться по формулам:
где N — искомая величина монтажного натяжения при температуре воздуха во время производства работ;
N1 — величина натяжения при плюс 40° С к среднегодовой температуре, приводится в чертежах КМ;
N2 — величина натяжения при минус 40° С от среднегодовой температуры, приводится в чертежах КМ;
Nc — величина натяжения при среднегодовой температуре воздуха в районе установки мачты, приводится в чертежах КМ в графе условной температуры для t°=0;
Тc — среднегодовая температура воздуха в районе установки мачты, определяется по данным гидрометеорологической службы, в чертежах КМ обозначена t°=0;
Т — температура воздуха во время производства работ по регулированию натяжения оттяжек мачт.
Примечание к формулам:
Значения температур в формулах применять с их знаками «+» или « — ».
